hyoscine butylbromide and its Impurities
Hyoscine Butylbromide is a quaternary ammonium compound which is used for treating abdominal pain and bladder spasms. A semisynthetic derivative of hyoscine hydrobromideis also used to improve respiratory secretions at the end of life. Reference standards of Hyoscine Butylbromide API,and its pharmacopeial, non pharmacopeial impurities, and stable isotopes are listed below.
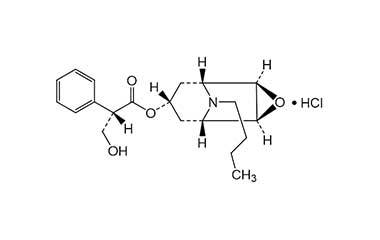
(1R,2R,4S,5S,7s)-9-Butyl-3-oxa-9-azatricyclo[3.3.1.02,4]nonan-7-yl 3-hydroxy-2-phenylpropanoate Hydrochloride
(1R,2R,4S,5S,7s)-9-Butyl-3-oxa-9-azatricyclo[3.3.1.02,4]nonan-7-yl 3-hydroxy-2-phenylpropanoate Hydrochloride
Catalogue No.:PA 08 0231000
CAS :
NA
Molecular Formula : C20H28ClNO4
Molecular Weight : 381.9
(1R,2R,5S,7S)-7-(((S)-3-Hydroxy-2-phenylpropanoyl)oxy)-9-methyl-9-propyl-3-oxa-9-azatricyclo[3.3.1.02,4]nonan-9-ium Bromide
(1R,2R,5S,7S)-7-(((S)-3-Hydroxy-2-phenylpropanoyl)oxy)-9-methyl-9-propyl-3-oxa-9-azatricyclo[3.3.1.02,4]nonan-9-ium Bromide
Catalogue No.:PA 08 0231001
CAS :
NA
Molecular Formula : C20H28BrNO4
Molecular Weight : 426.35

