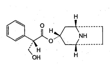
hyoscyamine sulfate and its Impurities
An anticholinergic/antispasmodic drug which helps in treating stomach or intestinal problems such as cramps and irritable bowel syndrome. It works by decreasing acid production in stomach. Reference standards of Hyoscyamine Sulfate API,and its pharmacopeial, non pharmacopeial impurities, and stable isotopes are listed below.

