icatibant and its Impurities
Icatibant is a peptidomimetic consisting of ten amino acids. Icatibant has been approved by the European Commission for the symptomatic treatment of acute attacks of hereditary angioedema in adults with C1-esterase-inhibitor deficiency. Reference standards of Icatibant API,and its pharmacopeial, non pharmacopeial impurities, and stable isotopes are listed below.
(2S)-2-((3aS,7aS)-1-(2-((S)-2-Amino-3-hydroxypropanoyl)-1,2,3,4-tetrahydroisoquinoline-3-carbonyl)octahydro-1H-indole-2-carboxamido)-5-((diaminomethylene)amino)pentanoic Acid
(2S)-2-((3aS,7aS)-1-(2-((S)-2-Amino-3-hydroxypropanoyl)-1,2,3,4-tetrahydroisoquinoline-3-carbonyl)octahydro-1H-indole-2-carboxamido)-5-((diaminomethylene)amino)pentanoic Acid
Catalogue No.:PA 09 64510
CAS :
NA
Molecular Formula : C28H41N7O6
Molecular Weight : 571.67
(2S)-2-(2-((4R)-1-(1-(2-((R)-2-Amino-5-((diaminomethylene)amino)pentanamido)-5-((diaminomethylene)amino)pentanoyl)pyrrolidine-2-carbonyl)-4-hydroxypyrrolidine-2-carboxamido)acetamido)-3-(thiophen-2-yl)propanoic Acid
(2S)-2-(2-((4R)-1-(1-(2-((R)-2-Amino-5-((diaminomethylene)amino)pentanamido)-5-((diaminomethylene)amino)pentanoyl)pyrrolidine-2-carbonyl)-4-hydroxypyrrolidine-2-carboxamido)acetamido)-3-(thiophen-2-yl)propanoic Acid
Catalogue No.:PA 09 64520
CAS :
NA
Molecular Formula : C31H50N12O8S
Molecular Weight : 750.87
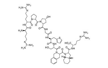
((2S,3aS,7aS)-1-((3S,6R)-3-((S)-2-(2-((2S,4R)-1-(D-Arginyl-L-arginyl-L-prolyl)-4-hydroxypyrrolidine-2-carboxamido)acetamido)-3-(thiophen-2-yl)propanamido)-4-oxo-3,4,7,11b-tetrahydro-2H,6H-[1,3]oxazino[2,3-a]isoquinoline-6-carbonyl)octahydro-1H-indole-2-carbonyl)-L-arginine
((2S,3aS,7aS)-1-((3S,6R)-3-((S)-2-(2-((2S,4R)-1-(D-Arginyl-L-arginyl-L-prolyl)-4-hydroxypyrrolidine-2-carboxamido)acetamido)-3-(thiophen-2-yl)propanamido)-4-oxo-3,4,7,11b-tetrahydro-2H,6H-[1,3]oxazino[2,3-a]isoquinoline-6-carbonyl)octahydro-1H-indole-2-carbonyl)-L-arginine
Catalogue No.:PA 09 64530
CAS :
NA
Molecular Formula : C59H87N19O13S
Molecular Weight : 1302.53
((2S,3aS,7aS)-1-((R)-2-(((S)-2-(2-((2S,4R)-1-(D-Arginyl-L-arginyl-L-prolyl)-4-hydroxypyrrolidine-2-carboxamido)acetamido)-3-(thiophen-2-yl)propanoyl)-L-seryl)-1-oxo-1,2,3,4-tetrahydroisoquinoline-3-carbonyl)octahydro-1H-indole-2-carbonyl)-L-arginine
((2S,3aS,7aS)-1-((R)-2-(((S)-2-(2-((2S,4R)-1-(D-Arginyl-L-arginyl-L-prolyl)-4-hydroxypyrrolidine-2-carboxamido)acetamido)-3-(thiophen-2-yl)propanoyl)-L-seryl)-1-oxo-1,2,3,4-tetrahydroisoquinoline-3-carbonyl)octahydro-1H-indole-2-carbonyl)-L-arginine
Catalogue No.:PA 09 64540
CAS :
NA
Molecular Formula : C59H87N19O14S
Molecular Weight : 1318.52
((S)-2-(2-((2S,4S)-1-(D-Arginyl-D-arginyl-L-prolyl)-4-hydroxypyrrolidine-2-carboxamido)acetamido)-3-(thiophen-2-yl)propanoyl)-L-serine
((S)-2-(2-((2S,4S)-1-(D-Arginyl-D-arginyl-L-prolyl)-4-hydroxypyrrolidine-2-carboxamido)acetamido)-3-(thiophen-2-yl)propanoyl)-L-serine
Catalogue No.:PA 09 0641000
CAS :
NA
Molecular Formula : C34H55N13O10S
Molecular Weight : 837.96
(S)-2-((2S,3aS,7aS)-1-((R)-2-(((S)-2-(2-((2S,4R)-1-(((S)-2-((R)-2-Amino-5-((diaminomethylene)amino)pentanamido)-5-((diaminomethylene)amino)pentanoyl)-L-prolyl)-4-hydroxypyrrolidine-2-carboxamido)acetamido)-3-(thiophen-2-yl)propanoyl)-D-seryl)-1,2,3,4-tetrahydroisoquinoline-3-carbonyl)octahydro-1H-indole-2-carboxamido)-5-((diaminomethylene)amino)pentanoic Acid
(S)-2-((2S,3aS,7aS)-1-((R)-2-(((S)-2-(2-((2S,4R)-1-(((S)-2-((R)-2-Amino-5-((diaminomethylene)amino)pentanamido)-5-((diaminomethylene)amino)pentanoyl)-L-prolyl)-4-hydroxypyrrolidine-2-carboxamido)acetamido)-3-(thiophen-2-yl)propanoyl)-D-seryl)-1,2,3,4-tetrahydroisoquinoline-3-carbonyl)octahydro-1H-indole-2-carboxamido)-5-((diaminomethylene)amino)pentanoic Acid
Catalogue No.:PA 09 0641004
CAS :
NA
Molecular Formula : C59H89N19O13S
Molecular Weight : 1304.54
(S)-2-((2S,3aS,7aS)-1-((R)-2-(((S)-2-(2-((2S,4R)-1-(((S)-2-((R)-2-(Carboxyamino)-5-((diaminomethylene)amino)pentanamido)-5-((diaminomethylene)amino)pentanoyl)-L-prolyl)-4-hydroxypyrrolidine-2-carboxamido)acetamido)-3-(thiophen-2-yl)propanoyl)-L-seryl)-1,2,3,4-tetrahydroisoquinoline-3-carbonyl)octahydro-1H-indole-2-carboxamido)-5-((diaminomethylene)amino)pentanoic Acid
(S)-2-((2S,3aS,7aS)-1-((R)-2-(((S)-2-(2-((2S,4R)-1-(((S)-2-((R)-2-(Carboxyamino)-5-((diaminomethylene)amino)pentanamido)-5-((diaminomethylene)amino)pentanoyl)-L-prolyl)-4-hydroxypyrrolidine-2-carboxamido)acetamido)-3-(thiophen-2-yl)propanoyl)-L-seryl)-1,2,3,4-tetrahydroisoquinoline-3-carbonyl)octahydro-1H-indole-2-carboxamido)-5-((diaminomethylene)amino)pentanoic Acid
Catalogue No.:PA 09 0641005
CAS :
NA
Molecular Formula : C60H89N19O15S
Molecular Weight : 1348.55
(2S)-2-((3aS,7aS)-1-(2-(((2S)-2-(2-((4R)-1-((2-((R)-2-Amino-5-((diaminomethylene)amino)pentanamido)-5-((diaminomethylene)amino)pentanoyl)prolyl)-4-hydroxypyrrolidine-2-carboxamido)acetamido)-3-(thiophen-2-yl)propanoyl)-L-seryl)-1,2,3,4-tetrahydroisoquinoline-3-carbonyl)octahydro-1H-indole-2-carboxamido)-5-((diaminomethylene)amino)pentanoic Acid
(2S)-2-((3aS,7aS)-1-(2-(((2S)-2-(2-((4R)-1-((2-((R)-2-Amino-5-((diaminomethylene)amino)pentanamido)-5-((diaminomethylene)amino)pentanoyl)prolyl)-4-hydroxypyrrolidine-2-carboxamido)acetamido)-3-(thiophen-2-yl)propanoyl)-L-seryl)-1,2,3,4-tetrahydroisoquinoline-3-carbonyl)octahydro-1H-indole-2-carboxamido)-5-((diaminomethylene)amino)pentanoic Acid
Catalogue No.:PA 09 0641006
CAS :
NA
Molecular Formula : C59H89N19O13S
Molecular Weight : 1304.54
(R)-2-(N-(((9H-Fluoren-9-yl)methoxy)carbonyl)-O-(tert-butyl)-L-seryl)-1-oxo-1,2,3,4-tetrahydroisoquinoline-3-carboxylic Acid
(R)-2-(N-(((9H-Fluoren-9-yl)methoxy)carbonyl)-O-(tert-butyl)-L-seryl)-1-oxo-1,2,3,4-tetrahydroisoquinoline-3-carboxylic Acid
Catalogue No.:PA 09 0641007
CAS :
NA
Molecular Formula : C32H32N2O7
Molecular Weight : 556.62
((1S,3aS,7aR)-2-((R)-2-((((R)-2-(2-((2S,4R)-1-(L-Arginyl-L-arginyl-L-prolyl)-4-hydroxypyrrolidine-2-carboxamido)acetamido)-3-(thiophen-2-yl)propanoyl)carbamoyl)-L-seryl)-1,2,3,4-tetrahydroisoquinoline-3-carbonyl)octahydro-1H-isoindole-1-carbonyl)-L-arginine
((1S,3aS,7aR)-2-((R)-2-((((R)-2-(2-((2S,4R)-1-(L-Arginyl-L-arginyl-L-prolyl)-4-hydroxypyrrolidine-2-carboxamido)acetamido)-3-(thiophen-2-yl)propanoyl)carbamoyl)-L-seryl)-1,2,3,4-tetrahydroisoquinoline-3-carbonyl)octahydro-1H-isoindole-1-carbonyl)-L-arginine
Catalogue No.:PA 09 0641008
CAS :
NA
Molecular Formula : C60H90N20O14S
Molecular Weight : 1347.57
(2S)-5-((Diaminomethylene)amino)-2-((3aS,7aS)-1-(2-(((2S)-2-(2-((4R)-1-((5-((diaminomethylene)amino)-2-((R)-4-(3-((diaminomethylene)amino)propyl)-5-oxoimidazolidin-1-yl)pentanoyl)prolyl)-4-hydroxypyrrolidine-2-carboxamido)acetamido)-3-(thiophen-2-yl)propanoyl)-L-seryl)-1,2,3,4-tetrahydroisoquinoline-3-carbonyl)octahydro-1H-indole-2-carboxamido)pentanoic Acid
(2S)-5-((Diaminomethylene)amino)-2-((3aS,7aS)-1-(2-(((2S)-2-(2-((4R)-1-((5-((diaminomethylene)amino)-2-((R)-4-(3-((diaminomethylene)amino)propyl)-5-oxoimidazolidin-1-yl)pentanoyl)prolyl)-4-hydroxypyrrolidine-2-carboxamido)acetamido)-3-(thiophen-2-yl)propanoyl)-L-seryl)-1,2,3,4-tetrahydroisoquinoline-3-carbonyl)octahydro-1H-indole-2-carboxamido)pentanoic Acid
Catalogue No.:PA 09 0641009
CAS :
NA
Molecular Formula : C60H89N19O13S
Molecular Weight : 1316.55

