iloprost and its Impurities
Iloprost is used to treat pulmonary arterial hypertension. It is a synthetic analogue of prostacyclin PGI2 that dilates systemic and pulmonary arterial vascular beds. Reference standards of Iloprost API,and its pharmacopeial, non pharmacopeial impurities, and stable isotopes are listed below.
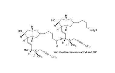
Iloprost - Impurity E
Mixture of the 4 diastereoisomers of (5E)-5-[(3aS,4R,5R,6aS)-5-[[(5E)-5-[(3aS,4R,5R,6aS)-5-Hydroxy-4-[(1E,3S,4RS)-3-hydroxy-4-methyloct-1-en-6-yn-1-yl]hexahydropentalen-2(1H)-ylidene]pentanoyl]oxy]-4-[(1E,3S,4RS)-3-hydroxy-4-methyloct-1-en-6-yn-1-yl]hexahydropentalen-2(1H)-ylidene]pentanoic Acid
Catalogue No.:PA 09 0600050
CAS :
NA
Molecular Formula : C22H30O4
Molecular Weight : 702.97
Iloprost - Impurity F
(5E)-5-[(3aS,4R,5R,6aS)-5-Hydroxy-4-[(1E,3S,4RS)-3-[[(5E)-5-[(3aS,4R,5R,6aS)-5-hydroxy-4-[(1E,3S,4RS)-3-hydroxy-4-methyloct-1-en-6-yn-1-yl]hexahydropentalen-2(1H)-ylidene]pentanoyl]oxy]-4-methyloct-1-en-6-yn-1-yl]hexahydropentalen-2(1H)-ylidene]pentanoic Acid
Catalogue No.:PA 09 0600060
CAS :
NA
Molecular Formula : C44H62O7
Molecular Weight : 702.97
(3'aS,4'R,5'R,6'aR)-Hexahydro-5'-hydroxy-5,5-dimethyl-spiro[1,3-dioxane-2,2'(1'H)-pentalene]-4'-carboxylic acid methyl ester
(3'aS,4'R,5'R,6'aR)-Hexahydro-5'-hydroxy-5,5-dimethyl-spiro[1,3-dioxane-2,2'(1'H)-pentalene]-4'-carboxylic acid methyl ester
Catalogue No.:PA 09 0601000
CAS :
118375-00-1
Molecular Formula : C15H24O5
Molecular Weight : 284.35
rel-5-((3aR,4R,5R,6aR,E)-5-Hydroxy-4-((E)-4-methyl-3-oxooct-1-en-6-yn-1-yl)hexahydropentalen-2(1H)-ylidene)pentanoic Acid
rel-5-((3aR,4R,5R,6aR,E)-5-Hydroxy-4-((E)-4-methyl-3-oxooct-1-en-6-yn-1-yl)hexahydropentalen-2(1H)-ylidene)pentanoic Acid
Catalogue No.:PA 09 0601003
CAS :
155326-57-1
Molecular Formula : C22H30O4
Molecular Weight : 358.48

