indocyanine green and its Impurities
Indocyanine Green used in medical diagnostics. It is used for determining cardiac output, hepatic function, liver and gastric blood flow, and for ophthalmic angiography. Reference standards of Indocyanine Green API,and its pharmacopeial, non pharmacopeial impurities, and stable isotopes are listed below.

![2-[6-(Acetylphenylamino)-1,3,5-hexatrienyl]-1,1-di PA 09 84510](https://www.pharmaffiliates.com/pimages/PA0984510.jpg)
2-[6-(Acetylphenylamino)-1,3,5-hexatrienyl]-1,1-dimethyl-3-sulfobutyl-1H-benz[e]indolium Inner Salt
2-[6-(Acetylphenylamino)-1,3,5-hexatrienyl]-1,1-dimethyl-3-sulfobutyl-1H-benz[e]indolium Inner Salt
Catalogue No.:PA 09 84510
CAS :
63450-66-8
Molecular Formula : C32H34N2O4S
Molecular Weight : 542.69


4-(2-((1E,3E,5E,7E)-7-(3-(4-(Methoxysulfonyl)butyl)-1,1-dimethyl-1,3-dihydro-2H-benzo[e]indol-2-ylidene)hepta-1,3,5-trien-1-yl)-1,1-dimethyl-1H-benzo[e]indol-3-ium-3-yl)butane-1-sulfonate
4-(2-((1E,3E,5E,7E)-7-(3-(4-(Methoxysulfonyl)butyl)-1,1-dimethyl-1,3-dihydro-2H-benzo[e]indol-2-ylidene)hepta-1,3,5-trien-1-yl)-1,1-dimethyl-1H-benzo[e]indol-3-ium-3-yl)butane-1-sulfonate
Catalogue No.:PA 09 0841000
CAS :
1201170-49-1
Molecular Formula : C44H50N2O6S2
Molecular Weight : 767.01


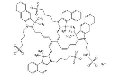
Sodium 4,4'-(((1E,3Z,5Z,6Z,7E,9E)-5,6-bis(2-(1,1-dimethyl-3-(4-sulfonatobutyl)-1,3-dihydro-2H-benzo[e]indol-2-ylidene)ethylidene)deca-1,3,7,9-tetraene-1,10-diyl)bis(1,1-dimethyl-1H-benzo[e]indole-3-ium-2,3-diyl))bis(butane-1-sulfonate)
Sodium 4,4'-(((1E,3Z,5Z,6Z,7E,9E)-5,6-bis(2-(1,1-dimethyl-3-(4-sulfonatobutyl)-1,3-dihydro-2H-benzo[e]indol-2-ylidene)ethylidene)deca-1,3,7,9-tetraene-1,10-diyl)bis(1,1-dimethyl-1H-benzo[e]indole-3-ium-2,3-diyl))bis(butane-1-sulfonate)
Catalogue No.:PA 09 0841004
CAS :
NA
Molecular Formula : C86H92N4Na2O12S4
Molecular Weight : 1547.92


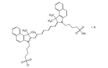
4-(2-(7-(1,1-Dimethyl-3-(4-sulfobutyl)-1,3-dihydro-2H-benzo[e]indol-2-ylidene)hepta-1,3,5-trien-1-yl)-1,1-dimethyl-1H-benzo[e]indol-3-ium-3-yl)butane-1-sulfonate, Potassium Salt
4-(2-(7-(1,1-Dimethyl-3-(4-sulfobutyl)-1,3-dihydro-2H-benzo[e]indol-2-ylidene)hepta-1,3,5-trien-1-yl)-1,1-dimethyl-1H-benzo[e]indol-3-ium-3-yl)butane-1-sulfonate, Potassium Salt
Catalogue No.:PA 09 0841006
CAS :
121750-10-5
Molecular Formula : C43H48KN2O6S2
Molecular Weight : 792.08