ivermectin and its Impurities
Ivermectin is a semisynthetic macrocyclic lactone. It is a broad spectrum antiparasitic agent and is derived from Avermectins. Reference standards of Ivermectin API, and its pharmacopeial, non pharmacopeial impurities, and stable isotopes are listed below.
5-O-Demethyl-4'',5-bis-O-[(1,1-dimethylethyl)dimethylsilyl]-22,23-dihydro-28-oxo-avermectin A1a
5-O-Demethyl-4'',5-bis-O-[(1,1-dimethylethyl)dimethylsilyl]-22,23-dihydro-28-oxo-avermectin A1a
Catalogue No.:PA 09 0321005
CAS :
102190-51-2
Molecular Formula : C60H100O15Si2
Molecular Weight : 1117.62
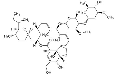
(2a'E,4'E,8'Z)-6-(Sec-butyl)-7'-((5-((4,5-dimethoxy-6-methyltetrahydro-2H-pyran-2-yl)oxy)-4-methoxy-6-methyltetrahydro-2H-pyran-2-yl)oxy)-2a1',3,20'-trihydroxy-5,6',8',18',19'-pentamethyl-2a1',3,4,5,6,6',7',10',11',14',15',17a',18',19',20',20a'-hexadecahydro-2'H,17'H-spiro[pyran-2,13'-[11,15]methano[1,5]dioxacyclooctadecino[9,8,7-cd]benzofuran]-17'-one
(2a'E,4'E,8'Z)-6-(Sec-butyl)-7'-((5-((4,5-dimethoxy-6-methyltetrahydro-2H-pyran-2-yl)oxy)-4-methoxy-6-methyltetrahydro-2H-pyran-2-yl)oxy)-2a1',3,20'-trihydroxy-5,6',8',18',19'-pentamethyl-2a1',3,4,5,6,6',7',10',11',14',15',17a',18',19',20',20a'-hexadecahydro-2'H,17'H-spiro[pyran-2,13'-[11,15]methano[1,5]dioxacyclooctadecino[9,8,7-cd]benzofuran]-17'-one
Catalogue No.:PA 09 0321013
CAS :
NA
Molecular Formula : C50H80O15
Molecular Weight : 921.18

