josamycin and its Impurities
Josamycin is used for the treatment of respiratory and suppurative. Josamycin is a macrolide antibiotic. It is currently sold in various countries. Reference standards of Josamycin API,and its pharmacopeial, non pharmacopeial impurities, and stable isotopes are listed below.
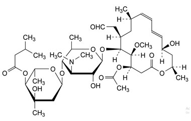
Josamycin - Impurity A
(4R,5S,6S,7R,9R,10R,11E,13E,16R)-4-(Acetyloxy)-6-[[3,6-dideoxy-4-O-(2,6-dideoxy-4-O-butanoyl-3-C-methyl-α-L-ribo-hexopyranosyl)-3-(dimethylamino)-β-D-glucopyranosyl]oxy]-10-hydroxy-5-methoxy-9,16-dimethyl-7-(2-oxoethyl)oxacyclohexadeca-11,13-dien-2-one
Catalogue No.:PA 10 0010010
CAS :
18361-46-1
Molecular Formula : C41H67NO15
Molecular Weight : 813.98
Josamycin - Impurity B
(4R,5S,6S,7R,9R,10R,11E,13E,16R)-4-(Acetyloxy)-6-[[3,6-dideoxy-4-O-[2,6-dideoxy-3-C-methyl-4-O-(3-methylbutanoyl)-α-L-ribo-hexopyranosyl]-3-(dimethylamino)-β-D-glucopyranosyl]oxy]-10-hydroxy-7-(2-hydroxyethyl)-5-methoxy-9,16-dimethyloxacyclohexadeca-11,13-dien-2-one
Catalogue No.:PA 10 0010020
CAS :
40361-41-9
Molecular Formula : C42H71NO15
Molecular Weight : 830.02
Josamycin - Impurity E
(4R,5S,6S,7R,9R,10R,11E,13E,16R)-6-[[3,6-Dideoxy-4-O-[2,6-dideoxy-3-C-methyl-4-O-(3-methylbutanoyl)-α-L-ribo-hexopyranosyl]-3-(dimethylamino)-β-D-glucopyranosyl]oxy]-10-hydroxy-5-methoxy-9,16-dimethyl-7-(2-oxoethyl)-4-(propanoyloxy)oxacyclohexadeca-11,13-dien-2-one
Catalogue No.:PA 10 0010050
CAS :
40615-47-2
Molecular Formula : C43H71NO15
Molecular Weight : 842.03
Josamycin - Impurity F
(4R,5S,6S,7R,9R,10R,11E,13E,16R)-6-[[3,6-Dideoxy-4-O-(2,6-dideoxy-3-C-methyla-L-ribo-hexopyranosyl)-3-(dimethylamino)-ß-Dglucopyranosyl]oxy]-4,10-dihydroxy-5-methoxy-9,16-dimethyl-7-(2-oxoethyl)oxacyclohexadeca-11,13-dien-2-one
Catalogue No.:PA 10 0010060
CAS :
22875-15-6
Molecular Formula : C35H59NO13
Molecular Weight : 701.85
Josamycin - Impurity G
(4R,5S,6S,7R,9R,10R,11E,13E,16R)-6-[[3,6-Dideoxy-4-O-(4-O-acetyl-2,6-dideoxy-3-C-methyl-a-L-ribo-hexopyranosyl)-3-(dimethylamino)-ß-D-glucopyranosyl]oxy]-4,10-dihydroxy-5-methoxy-9,16-dimethyl-7-(2-oxoethyl)oxacyclohexadeca-11,13-dien-2-one
Catalogue No.:PA 10 0010070
CAS :
18361-49-4
Molecular Formula : C37H61NO14
Molecular Weight : 743.89
Josamycin - Impurity H
(4R,5S,6S,7R,9R,10R,11E,13E,16R)-6-[[3,6-Dideoxy-4-O-[2,6-dideoxy-3-C-methyl-4-O-(3-methylbutanoyl)-a-L-ribo-hexopyranosyl]-3-(dimethylamino)-ß-D-glucopyranosyl]oxy]-4,10-dihydroxy5-methoxy-9,16-dimethyl-7-(2-oxoethyl)oxacyclohexadeca11,13-dien-2-one
Catalogue No.:PA 10 0010080
CAS :
16846-34-7
Molecular Formula : C40H67NO14
Molecular Weight : 785.97
Josamycin - Impurity I
(4R,5S,6S,7R,9R,10R,11E,13E,16R)-6-[[3,6-Dideoxy-4-O-(2,6-dideoxy-3-C-methyl-4-O-propanoyl-a-L-ribo-hexopyranosyl)-3-(dimethylamino)-ß-D-glucopyranosyl]oxy]-4,10-dihydroxy-5-methoxy-9,16-dimethyl-7-(2-oxoethyl)oxacyclohexadeca-11,13-dien-2-one
Catalogue No.:PA 10 0010090
CAS :
18361-47-2
Molecular Formula : C38H63NO14
Molecular Weight : 757.92
Josamycin - Impurity J
(4R,5S,6S,7R,9R,10R,11E,13E,16R)-4-(Acetyloxy)-6-[[3,6-dideoxy-4-O-(2,6-dideoxy-4-O-hexanoyl-3-C-methyl-a-L-ribo-hexopyranosyl)-3-(dimethylamino)-ß-D-glucopyranosyl]oxy]-10-hydroxy-5-methoxy-9,16-dimethyl-7-(2-oxoethyl)oxacyclohexadeca11,13-dien-2-one
Catalogue No.:PA 10 0010100
CAS :
851759-08-5
Molecular Formula : C43H71NO15
Molecular Weight : 842.03
Josamycin - Impurity K
(4R,5S,6S,7R,9R,10R,11E,13E,16R)-4-(Acetyloxy)-6-[[3,6-dideoxy-4-O-(2,6-dideoxy-3-C-methyl-4-O-propanoyl-a-L-ribo-hexopyranosyl)-3-(dimethylamino)-ß-D-glucopyranosyl]oxy]-10-hydroxy-5-methoxy-9,16-dimethyl-7-(2-oxoethyl)oxacyclohexadeca11,13-dien-2-one
Catalogue No.:PA 10 0010110
CAS :
18361-48-3
Molecular Formula : C40H65NO15
Molecular Weight : 799.95

