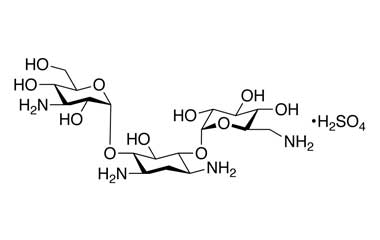
kanamycin acid sulfate and its Impurities
Kanamycin Acid Sulfate is an antibiotic used to treat severe bacterial infections and tuberculosis. It is in the aminoglycoside family of medications. Reference standards of Kanamycin Acid Sulfate API,and its pharmacopeial, non pharmacopeial impurities, and stable isotopes are listed below.

 
	
			                                   
																				 
																				 
																				 
																				 
																				 
																				 
																				 
 
 
 
