levonorgestrel and its Impurities
A synthetic hormone, which is used as a birth control drug. Levonorgestrel is an estrane steroid and a derivative of testosterone which is also used in intrauterine devices. Reference standards of Levonorgestrel API,and its pharmacopeial, non pharmacopeial impurities, and stable isotopes are listed below.
	
			                                  
																				(8R,9S,10R,13S,14S,17R,E)-13-Ethyl-17-ethynyl-17-hydroxy-8,9,10,11,12,13,14,15,16,17-decahydro-1H-cyclopenta[a]phenanthren-3(2H)-one oxime
(8R,9S,10R,13S,14S,17R,E)-13-Ethyl-17-ethynyl-17-hydroxy-8,9,10,11,12,13,14,15,16,17-decahydro-1H-cyclopenta[a]phenanthren-3(2H)-one oxime
Catalogue No.:PA 12 14520
CAS :
NA
Molecular Formula : C21H27NO2
Molecular Weight : 325.44
	
			                                  
																				(8R,9S,10R,13S,14S,17S)-13-Ethyl-17-ethynyl-17-hydroxy-1,2,6,7,8,9,10,11,12,13,14,15,16,17-tetradecahydro-3H-cyclopenta[a]phenanthren-3-one
(8R,9S,10R,13S,14S,17S)-13-Ethyl-17-ethynyl-17-hydroxy-1,2,6,7,8,9,10,11,12,13,14,15,16,17-tetradecahydro-3H-cyclopenta[a]phenanthren-3-one
Catalogue No.:PA 12 0141005
CAS :
178737-52-5
Molecular Formula : C21H28O2
Molecular Weight : 312.45
	
			                                  
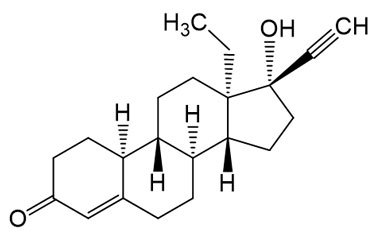
																				(5S,8R,9S,13S,14S,17R)-13-Ethyl-17-ethynyl-17-hydroxy-2,4,5,6,7,8,9,11,12,13,14,15,16,17-tetradecahydro-3H-cyclopenta[a]phenanthren-3-one
(5S,8R,9S,13S,14S,17R)-13-Ethyl-17-ethynyl-17-hydroxy-2,4,5,6,7,8,9,11,12,13,14,15,16,17-tetradecahydro-3H-cyclopenta[a]phenanthren-3-one
Catalogue No.:PA 12 0141009
CAS :
NA
Molecular Formula : C21H28O2
Molecular Weight : 312.45

																				
																				
																				
																				
																				
																				
																				
																				
																				
																				
																				
																				
																				
																				
																				
																				
																				
																				
																				
																				
																				
																				
																				
																				
																				
																				
																				
																				
																				
																				
																				
																				
																				
																				
																				
																				
																				
																				
																				
																				
																				
																				
																				
																				
