mannitol and its Impurities
A type of sugar, Mannitol is used as a sweetner in diabetic food as it is poorly absorbed from the intestines. Also used to reduce raised intracranial pressure and eye pressure. It is classified as a sugar alcohol. Reference standards of Mannitol API,and its pharmacopeial, non pharmacopeial impurities, and stable isotopes are listed below.
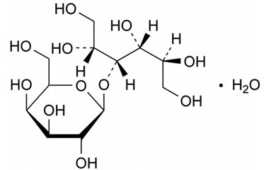
Isomaltitol (Mixture of 6-O-α-D-Glucopyranosyl-D-glucitol and 1-O-α-D-Glucopyranosyl-D-mannitol)
Isomaltitol (Mixture of 6-O-α-D-Glucopyranosyl-D-glucitol and 1-O-α-D-Glucopyranosyl-D-mannitol)
Catalogue No.:PA 13 0581000
CAS :
534-73-6
Molecular Formula : C12H24O11
Molecular Weight : 344.31

