menaquinone and its Impurities
Menaquinone activates proteins that play a role in blood clotting, calcium metabolism and heart health. One of its most important functions is to regulate calcium deposition. Menaquinone is the main storage form in animals. Reference standards of Menaquinone API,and its pharmacopeial, non pharmacopeial impurities, and stable isotopes are listed below.
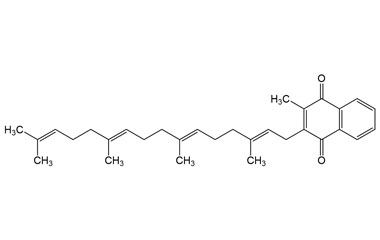
4-Hydroxy-3-methyl-2-((2E,6E,10E)-3,7,11,15-tetramethylhexadeca-2,6,10,14-tetraen-1-ylidene)naphthalen-1(2H)-one
4-Hydroxy-3-methyl-2-((2E,6E,10E)-3,7,11,15-tetramethylhexadeca-2,6,10,14-tetraen-1-ylidene)naphthalen-1(2H)-one
Catalogue No.:PA 40 0211004
CAS :
693781-59-8
Molecular Formula : C31H40O2
Molecular Weight : 444.66

