mesna and its Impurities
An organosulphur compound, Mesna is a drug used to reduce the undesired side effects of certain chemotherapy drugs like cyclophosphamide or ifosfamide. It shows antioxidant properties. Reference standards of Mesna API,and its pharmacopeial, non pharmacopeial impurities, and stable isotopes are listed below.
Mesna Related Compound A (2-(Acetylthio)ethane-1-sulfonic acid, potassium salt, crystal adduct with potassium chloride) (1392818)
Mesna Related Compound A (2-(Acetylthio)ethane-1-sulfonic acid, potassium salt, crystal adduct with potassium chloride) (1392818)
Catalogue No.:PA USP1392818
CAS :
2820170-85-0
Molecular Formula : NA
Molecular Weight : NA
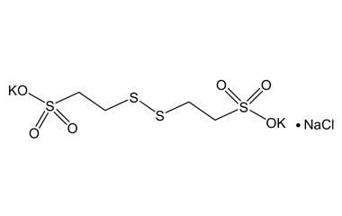
2,2'-Disulfanediylbis(ethane-1-sulfonic acid), dipotassium salt, crystal adduct with Sodium Chloride
2,2'-Disulfanediylbis(ethane-1-sulfonic acid), dipotassium salt, crystal adduct with Sodium Chloride
Catalogue No.:PA 13 0711001
CAS :
2820170-83-8
Molecular Formula : C4H8ClK2NaO6S4
Molecular Weight : 416.98

