Mirogabalin and its Impurities
Mirogabalin sold under the brand name Tarlige. it has been used in trials studying the treatment of Post-herpetic Neuralgia, Pain Associated With Fibromyalgia, and Diabetic. Reference standards of Mirogabalin API, and its pharmacopeial, non pharmacopeial impurities, and stable isotopes are listed below.
 
	
			                                   
																				2-((1S,5R,6S)-6-(Aminomethyl)-3-ethylbicyclo[3.2.0]hept-2-en-6-yl)acetic acid/2-((1R,5S,6R)-6-(aminomethyl)-3-ethylbicyclo[3.2.0]hept-2-en-6-yl)acetic Acid
2-((1S,5R,6S)-6-(Aminomethyl)-3-ethylbicyclo[3.2.0]hept-2-en-6-yl)acetic acid/2-((1R,5S,6R)-6-(aminomethyl)-3-ethylbicyclo[3.2.0]hept-2-en-6-yl)acetic Acid
- Catalogue No.:PA 13 2351005 
- CAS : - NA
- Molecular Formula : C12H19NO2 
- Molecular Weight : 209.29 
 
	
			                                   
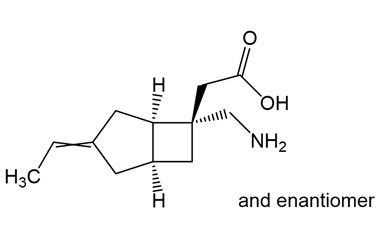
																				2-((1R,5R,6S)-6-(Aminomethyl)-3-ethylidenebicyclo[3.2.0]heptan-6-yl)acetic acid/2-((1S,5S,6R)-6-(aminomethyl)-3-ethylidenebicyclo[3.2.0]heptan-6-yl)acetic Acid
2-((1R,5R,6S)-6-(Aminomethyl)-3-ethylidenebicyclo[3.2.0]heptan-6-yl)acetic acid/2-((1S,5S,6R)-6-(aminomethyl)-3-ethylidenebicyclo[3.2.0]heptan-6-yl)acetic Acid
- Catalogue No.:PA 13 2351006 
- CAS : - NA
- Molecular Formula : C12H19NO2 
- Molecular Weight : 209.29 
 
	
			                                   
																				tert-Butyl 2-((1R,5S,6S)-6-(aminomethyl)-3-ethylbicyclo[3.2.0]hept-3-en-6-yl)acetate (R)-2-hydroxy-2-phenylacetate
tert-Butyl 2-((1R,5S,6S)-6-(aminomethyl)-3-ethylbicyclo[3.2.0]hept-3-en-6-yl)acetate (R)-2-hydroxy-2-phenylacetate
- Catalogue No.:PA 13 2351022 
- CAS : - 1246542-63-1
- Molecular Formula : C24H35NO5 
- Molecular Weight : 417.55 
 
	
			                                   
																				2-((1S,5S,6S)-3-Acetyl-6-(aminomethyl)bicyclo[3.2.0]hept-3-en-6-yl)acetic Acid Trifluoroacetate
2-((1S,5S,6S)-3-Acetyl-6-(aminomethyl)bicyclo[3.2.0]hept-3-en-6-yl)acetic Acid Trifluoroacetate
- Catalogue No.:PA 13 2351025 
- CAS : - NA
- Molecular Formula : C14H18F3NO5 
- Molecular Weight : 337.3 
 
	
			                                   
																				2-((1S,5R,6R)-6-(Aminomethyl)-3-ethylbicyclo[3.2.0]hept-3-en-6-yl)acetic Acid Benzenesulfonic Acid
2-((1S,5R,6R)-6-(Aminomethyl)-3-ethylbicyclo[3.2.0]hept-3-en-6-yl)acetic Acid Benzenesulfonic Acid
- Catalogue No.:PA 13 2351026 
- CAS : - 1138246-96-4
- Molecular Formula : C18H25NO5S 
- Molecular Weight : 367.46 

 
																				 
																				 
																				 
																				 
																				 
																				![3-Ethylbicyclo[3.2.0]hept-3-en-6-one PA 13 2351004](https://www.pharmaffiliates.com/pimages/PA132351004.jpg) 
																				 
																				 
																				 
																				 
																				![(1S,5R)-3-Ethylbicyclo[3.2.0]hept-3-en-6-one PA 13 2351011](https://www.pharmaffiliates.com/pimages/PA132351011.jpg) 
																				 
																				 
																				 
																				 
																				 
																				 
																				 
																				 
																				 
																				 
																				![(1R,5S)-3-Ethylbicyclo[3.2.0]hept-3-en-6-one PA 13 2351020](https://www.pharmaffiliates.com/pimages/PA132351020.jpg) 
																				![tert-Butyl 2-((1R,5S)-3-ethylbicyclo[3.2.0]hept-3- PA 13 2351021](https://www.pharmaffiliates.com/pimages/PA132351021.jpg) 
																				![3-Ethylspiro[bicyclo[3.2.0]heptane-6,3'-pyrrolidin PA 13 2351024](https://www.pharmaffiliates.com/pimages/PA132351024.jpg) 
																				 
																				 
																				 
																				 
																				 
																				 
 
 
 
