miscellaneous and its Impurities
Miscellaneous Chemicals typically refers to a broad and diverse category of chemical substances that don't neatly fit into more specific classifications like commodity chemicals, specialty chemicals, or fine chemicals. Reference standards of Miscellaneous API, and its pharmacopeial, non pharmacopeial impurities, and stable isotopes are listed below.
1-((1R,3R,4R,7S)-1-((bis(4-methoxyphenyl)(phenyl)methoxy)methyl)-7-hydroxy-2,5-dioxabicyclo[2.2.1]heptan-3-yl)-5-methylpyrimidine-2,4(1H,3H)-dione
1-((1R,3R,4R,7S)-1-((bis(4-methoxyphenyl)(phenyl)methoxy)methyl)-7-hydroxy-2,5-dioxabicyclo[2.2.1]heptan-3-yl)-5-methylpyrimidine-2,4(1H,3H)-dione
Catalogue No.:PA 27 0029233
CAS :
206055-71-2
Molecular Formula : C32H32N2O8
Molecular Weight : 572.61
N-(1-((1R,3R,4R,7S)-1-((bis(4-methoxyphenyl)(phenyl)methoxy)methyl)-7-hydroxy-2,5-dioxabicyclo[2.2.1]heptan-3-yl)-5-methyl-2-oxo-1,2-dihydropyrimidin-4-yl)benzamide
N-(1-((1R,3R,4R,7S)-1-((bis(4-methoxyphenyl)(phenyl)methoxy)methyl)-7-hydroxy-2,5-dioxabicyclo[2.2.1]heptan-3-yl)-5-methyl-2-oxo-1,2-dihydropyrimidin-4-yl)benzamide
Catalogue No.:PA 27 0029234
CAS :
445012-77-1
Molecular Formula : C39H37N3O8
Molecular Weight : 675.74
5-Pyrimidinecarboxamide, 2-[(2,4-dichlorophenyl)amino]-N-[(tetrahydro-2H-pyran-4-yl)methyl]-4-(trifluoromethyl)
5-Pyrimidinecarboxamide, 2-[(2,4-dichlorophenyl)amino]-N-[(tetrahydro-2H-pyran-4-yl)methyl]-4-(trifluoromethyl)
Catalogue No.:PA 27 0029239
CAS :
666260-75-9
Molecular Formula : C18H17Cl2F3N4O2
Molecular Weight : 449.26
3-[(3R,4R)-4-methyl-3-[methyl({7H-pyrrolo[2,3,d]pyrimidin-4-yl})amino]piperidin-1-yl]-3-oxopropanenitrile-N-oxide
3-[(3R,4R)-4-methyl-3-[methyl({7H-pyrrolo[2,3,d]pyrimidin-4-yl})amino]piperidin-1-yl]-3-oxopropanenitrile-N-oxide
Catalogue No.:PA 27 0029264
CAS :
NA
Molecular Formula : C16H20N6O2
Molecular Weight : 328.38
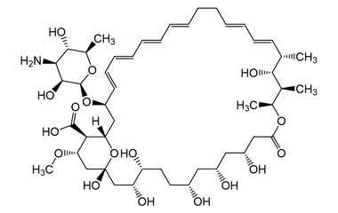
(1S,3R,4R,7R,9R,11R,15S,16R,17R,18S,19E,21E,25E,27E,29E,31E,33R,35S,36R,37S)-33-(((2S,3S,4S,5S)-4-Amino-3,5-dihydroxytetrahydro-2H-pyran-2-yl)oxy)-1,3,4,7,9,11,17,37-octahydroxy-15,16,18-trimethyl-13-oxo-14,39-dioxabicyclo[33.3.1]nonatriaconta-19,21,25,27,29,31-hexaene-36-carboxylic Acid
(1S,3R,4R,7R,9R,11R,15S,16R,17R,18S,19E,21E,25E,27E,29E,31E,33R,35S,36R,37S)-33-(((2S,3S,4S,5S)-4-Amino-3,5-dihydroxytetrahydro-2H-pyran-2-yl)oxy)-1,3,4,7,9,11,17,37-octahydroxy-15,16,18-trimethyl-13-oxo-14,39-dioxabicyclo[33.3.1]nonatriaconta-19,21,25,27,29,31-hexaene-36-carboxylic Acid
Catalogue No.:PA 27 0029221
CAS :
NA
Molecular Formula : C46H73NO17
Molecular Weight : 912.08
(1S,3R,4R,7R,9R,11R,15S,16R,17R,18S,19E,21E,25E,27E,29E,31E,33R,35S,36R,37S)-1,3,4,7,9,11,17,37-Octahydroxy-15,16,18-trimethyl-13-oxo-33-(((2R,3S,4S,5S,6R)-3,4,5-trihydroxy-6-methyltetrahydro-2H-pyran-2-yl)oxy)-14,39-dioxabicyclo[33.3.1]nonatriaconta-19,21,25,27,29,31-hexaene-36-carboxylic Acid
(1S,3R,4R,7R,9R,11R,15S,16R,17R,18S,19E,21E,25E,27E,29E,31E,33R,35S,36R,37S)-1,3,4,7,9,11,17,37-Octahydroxy-15,16,18-trimethyl-13-oxo-33-(((2R,3S,4S,5S,6R)-3,4,5-trihydroxy-6-methyltetrahydro-2H-pyran-2-yl)oxy)-14,39-dioxabicyclo[33.3.1]nonatriaconta-19,21,25,27,29,31-hexaene-36-carboxylic Acid
Catalogue No.:PA 27 0029222
CAS :
NA
Molecular Formula : C47H74O18
Molecular Weight : 927.09
(1R,3R,4R,7R,9R,11R,15S,16R,17R,18S,19E,21E,25E,27E,29E,31E,33R,35S,36S)-33-(((2R,3S,4S,5S,6R)-4-Amino-3,5-dihydroxy-6-methyltetrahydro-2H-pyran-2-yl)oxy)-1,3,4,7,9,11,17-heptahydroxy-15,16,18-trimethyl-13,37-dioxo-14,39-dioxabicyclo[33.3.1]nonatriaconta-19,21,25,27,29,31-hexaene-36-carboxylic Acid
(1R,3R,4R,7R,9R,11R,15S,16R,17R,18S,19E,21E,25E,27E,29E,31E,33R,35S,36S)-33-(((2R,3S,4S,5S,6R)-4-Amino-3,5-dihydroxy-6-methyltetrahydro-2H-pyran-2-yl)oxy)-1,3,4,7,9,11,17-heptahydroxy-15,16,18-trimethyl-13,37-dioxo-14,39-dioxabicyclo[33.3.1]nonatriaconta-19,21,25,27,29,31-hexaene-36-carboxylic Acid
Catalogue No.:PA 27 0029223
CAS :
NA
Molecular Formula : C47H73NO17
Molecular Weight : 924.09
(1R,3R,4R,7R,9R,11R,15S,16R,17R,18S,19E,21E,25E,27E,29E,31E,33R,35S,36S,37S)-33-(((2R,3S,4S,5S,6R)-4-Amino-3,5-dihydroxy-6-methyltetrahydro-2H-pyran-2-yl)oxy)-37-(butyryloxy)-1,3,4,7,9,11,17-heptahydroxy-15,16,18-trimethyl-13-oxo-14,39-dioxabicyclo[33.3.1]nonatriaconta-19,21,25,27,29,31-hexaene-36-carboxylic Acid
(1R,3R,4R,7R,9R,11R,15S,16R,17R,18S,19E,21E,25E,27E,29E,31E,33R,35S,36S,37S)-33-(((2R,3S,4S,5S,6R)-4-Amino-3,5-dihydroxy-6-methyltetrahydro-2H-pyran-2-yl)oxy)-37-(butyryloxy)-1,3,4,7,9,11,17-heptahydroxy-15,16,18-trimethyl-13-oxo-14,39-dioxabicyclo[33.3.1]nonatriaconta-19,21,25,27,29,31-hexaene-36-carboxylic Acid
Catalogue No.:PA 27 0029224
CAS :
NA
Molecular Formula : C51H81NO18
Molecular Weight : 996.2
(1R,3R,4R,7R,9R,11R,15S,16R,17R,18S,19E,21E,25E,27E,29E,31E,33R,35S,36R,37S)-33-(((2R,3S,4S,5S,6R)-4-Amino-3,5-dihydroxy-6-methyltetrahydro-2H-pyran-2-yl)oxy)-1,3,4,7,9,11,17-heptahydroxy-37-methoxy-15,16,18-trimethyl-13-oxo-14,39-dioxabicyclo[33.3.1]nonatriaconta-19,21,25,27,29,31-hexaene-36-carboxylic Acid
(1R,3R,4R,7R,9R,11R,15S,16R,17R,18S,19E,21E,25E,27E,29E,31E,33R,35S,36R,37S)-33-(((2R,3S,4S,5S,6R)-4-Amino-3,5-dihydroxy-6-methyltetrahydro-2H-pyran-2-yl)oxy)-1,3,4,7,9,11,17-heptahydroxy-37-methoxy-15,16,18-trimethyl-13-oxo-14,39-dioxabicyclo[33.3.1]nonatriaconta-19,21,25,27,29,31-hexaene-36-carboxylic Acid
Catalogue No.:PA 27 0029226
CAS :
NA
Molecular Formula : C48H77NO17
Molecular Weight : 940.13
(1S,3R,4R,7R,9R,11R,15S,16R,17R,18S,19E,21E,25E,27E,29E,31E,33R,35S,36R)-1,3,4,7,9,11,17,33-Octahydroxy-15,16,18-trimethyl-13-oxo-14,39-dioxabicyclo[33.3.1]nonatriaconta-19,21,25,27,29,31-hexaene-36-carboxylic Acid
(1S,3R,4R,7R,9R,11R,15S,16R,17R,18S,19E,21E,25E,27E,29E,31E,33R,35S,36R)-1,3,4,7,9,11,17,33-Octahydroxy-15,16,18-trimethyl-13-oxo-14,39-dioxabicyclo[33.3.1]nonatriaconta-19,21,25,27,29,31-hexaene-36-carboxylic Acid
Catalogue No.:PA 27 0029227
CAS :
NA
Molecular Formula : C41H64O13
Molecular Weight : 764.95
(1R,3R,4R,7R,9R,11R,15S,16S,17R,18S,19E,21E,25E,27E,29E,31E,33R,35S,36S)-17,33-Bis(((2R,3S,4S,5S,6R)-4-amino-3,5-dihydroxy-6-methyltetrahydro-2H-pyran-2-yl)oxy)-1,3,4,7,9,11-hexahydroxy-15,16,18-trimethyl-13,37-dioxo-14,39-dioxabicyclo[33.3.1]nonatriaconta-19,21,25,27,29,31-hexaene-36-carboxylic Acid
(1R,3R,4R,7R,9R,11R,15S,16S,17R,18S,19E,21E,25E,27E,29E,31E,33R,35S,36S)-17,33-Bis(((2R,3S,4S,5S,6R)-4-amino-3,5-dihydroxy-6-methyltetrahydro-2H-pyran-2-yl)oxy)-1,3,4,7,9,11-hexahydroxy-15,16,18-trimethyl-13,37-dioxo-14,39-dioxabicyclo[33.3.1]nonatriaconta-19,21,25,27,29,31-hexaene-36-carboxylic Acid
Catalogue No.:PA 27 0029228
CAS :
NA
Molecular Formula : C53H84N2O20
Molecular Weight : 1069.25
(1S,4R,7R,9R,11R,15S,16S,17R,18S,19E,21E,25E,27E,29E,31E,33R,35S,36S)-17,33-Bis(((2R,3S,4S,5S,6R)-4-amino-3,5-dihydroxy-6-methyltetrahydro-2H-pyran-2-yl)oxy)-1,4,7,9,11-pentahydroxy-15,16,18-trimethyl-3,13,37-trioxo-14,39-dioxabicyclo[33.3.1]nonatriaconta-19,21,25,27,29,31-hexaene-36-carboxylic Acid
(1S,4R,7R,9R,11R,15S,16S,17R,18S,19E,21E,25E,27E,29E,31E,33R,35S,36S)-17,33-Bis(((2R,3S,4S,5S,6R)-4-amino-3,5-dihydroxy-6-methyltetrahydro-2H-pyran-2-yl)oxy)-1,4,7,9,11-pentahydroxy-15,16,18-trimethyl-3,13,37-trioxo-14,39-dioxabicyclo[33.3.1]nonatriaconta-19,21,25,27,29,31-hexaene-36-carboxylic Acid
Catalogue No.:PA 27 0029229
CAS :
NA
Molecular Formula : C53H82N2O20
Molecular Weight : 1067.23
(2S,3R,4S,5S,6R)-2-((5-Bromo-6-chloro-1H-indol-3-yl)oxy)-6-(hydroxymethyl)tetrahydro-2H-pyran-3,4,5-triol
(2S,3R,4S,5S,6R)-2-((5-Bromo-6-chloro-1H-indol-3-yl)oxy)-6-(hydroxymethyl)tetrahydro-2H-pyran-3,4,5-triol
Catalogue No.:PA 27 0029244
CAS :
93863-89-9
Molecular Formula : C14H15BrClNO6
Molecular Weight : 408.63
6-(Cyclopropanecarboxamido)-4-((2-methoxy-3-(1-methyl-1H-1,2,4-triazol-3-yl)phenyl)amino)pyridazine-3-carboxylic Acid
6-(Cyclopropanecarboxamido)-4-((2-methoxy-3-(1-methyl-1H-1,2,4-triazol-3-yl)phenyl)amino)pyridazine-3-carboxylic Acid
Catalogue No.:PA 27 0029277
CAS :
2245111-18-4
Molecular Formula : C19H19N7O4
Molecular Weight : 409.41

