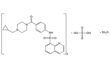
Mitapivat SulfateTrihydrate and its Impurities
Mitapivat sulfate trihydrate is an oral enzyme activator used in certain inherited red blood cell disorders. It is used for the treatment of Both non–transfusion-dependent and transfusion-dependent hemolytic anemia. Reference standards of Mitapivat Sulfatetrihydrate API, and its pharmacopeial, non pharmacopeial impurities, and stable isotopes are listed below.

