montelukast and its Impurities
A leukotriene receptor antagonist, Montelukast is used for treating asthma and other allergic symptoms. It works by blocking a substance called leukotriene, which helps to decrease certain asthma and allergy symptoms. Reference standards of Montelukast API,and its pharmacopeial, non pharmacopeial impurities, and stable isotopes are listed below.
(S)-1-(3-(2-(7-Chloroquinolin-2-yl)vinyl)phenyl)-3-(2-(2-hydroxypropan-2-yl)phenyl)propan-1-ol
(S)-1-(3-(2-(7-Chloroquinolin-2-yl)vinyl)phenyl)-3-(2-(2-hydroxypropan-2-yl)phenyl)propan-1-ol
Catalogue No.:PA 13 53520
CAS :
142569-70-8
Molecular Formula : C29H28ClNO2
Molecular Weight : 457.99
(E)-2-(2-(3-(3-(2-(7-Chloroquinolin-2-yl)vinyl)phenyl)-3-((2-methylenebutyl)thio)propyl)phenyl)propan-2-ol
(E)-2-(2-(3-(3-(2-(7-Chloroquinolin-2-yl)vinyl)phenyl)-3-((2-methylenebutyl)thio)propyl)phenyl)propan-2-ol
Catalogue No.:PA 13 53770
CAS :
2170561-71-2
Molecular Formula : C34H36ClNOS
Molecular Weight : 542.18
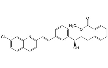
2-[(3S)-3-(Acetyloxy)-1-bromo-3-[3-[(1E)-2-(7-chloro-2-quinolinyl)ethenyl]phenyl]propyl]-benzoic Acid Methyl Ester
2-[(3S)-3-(Acetyloxy)-1-bromo-3-[3-[(1E)-2-(7-chloro-2-quinolinyl)ethenyl]phenyl]propyl]-benzoic Acid Methyl Ester
Catalogue No.:PA 13 53780
CAS :
184763-69-7
Molecular Formula : C30H25BrClNO4
Molecular Weight : 578.88
(R,E)-1-(3-(2-(7-Chloroquinolin-2-yl)vinyl)phenyl)-3-(2-(2-hydroxypropan-2-yl)phenyl)propyl methanesulfonate
(R,E)-1-(3-(2-(7-Chloroquinolin-2-yl)vinyl)phenyl)-3-(2-(2-hydroxypropan-2-yl)phenyl)propyl methanesulfonate
Catalogue No.:PA 13 53790
CAS :
920739-17-9
Molecular Formula : C30H30ClNO4S
Molecular Weight : 536.08
2-[2-[(3S)-3-[3-[(E)-2-(7-Chloro-2-quinolinyl)ethenyl]phenyl]-3-[(methanesulfonyl)oxy]propyl]phenyl]-2-propanol
2-[2-[(3S)-3-[3-[(E)-2-(7-Chloro-2-quinolinyl)ethenyl]phenyl]-3-[(methanesulfonyl)oxy]propyl]phenyl]-2-propanol
Catalogue No.:PA 13 53800
CAS :
807638-71-7
Molecular Formula : C30H30ClNO4S
Molecular Weight : 536.08
(R,E)-2-(1-(((1-(3-(2-(7-Chloroquinolin-2-yl)vinyl)phenyl)-3-(2-(2-hydroxypropan-2-yl)phenyl)propyl)sulfonyl)methyl)cyclopropyl)acetic Acid
(R,E)-2-(1-(((1-(3-(2-(7-Chloroquinolin-2-yl)vinyl)phenyl)-3-(2-(2-hydroxypropan-2-yl)phenyl)propyl)sulfonyl)methyl)cyclopropyl)acetic Acid
Catalogue No.:PA 13 53810
CAS :
1266620-74-9
Molecular Formula : C35H36ClNO5S
Molecular Weight : 618.19
(E)-2-(1-(((1-(3-(2-(7-Chloroquinolin-2-yl)vinyl)phenyl)-3-(2-(1-hydroxyethyl)phenyl)propyl)sulfinyl)methyl)cyclopropyl)acetic Acid
(E)-2-(1-(((1-(3-(2-(7-Chloroquinolin-2-yl)vinyl)phenyl)-3-(2-(1-hydroxyethyl)phenyl)propyl)sulfinyl)methyl)cyclopropyl)acetic Acid
Catalogue No.:PA 13 53830
CAS :
NA
Molecular Formula : C34H34ClNO4S
Molecular Weight : 588.16
1-((((S)-2-(3-((R)-1-(((1-(Carboxymethyl)cyclopropyl)methyl)thio)-3-(2-(2-hydroxypropan-2-yl)phenyl)propyl)phenyl)-1-(7-chloroquinolin-2-yl)ethyl)thio)methyl)cyclopropane-1-carboxylic Acid
1-((((S)-2-(3-((R)-1-(((1-(Carboxymethyl)cyclopropyl)methyl)thio)-3-(2-(2-hydroxypropan-2-yl)phenyl)propyl)phenyl)-1-(7-chloroquinolin-2-yl)ethyl)thio)methyl)cyclopropane-1-carboxylic Acid
Catalogue No.:PA 13 0531000
CAS :
1360561-92-7
Molecular Formula : C40H44ClNO5S2
Molecular Weight : 718.36
(S,E)-3-(2-Acetylphenyl)-1-(3-(2-(7-chloroquinolin-2-yl)vinyl)phenyl)propyl methanesulfonate
(S,E)-3-(2-Acetylphenyl)-1-(3-(2-(7-chloroquinolin-2-yl)vinyl)phenyl)propyl methanesulfonate
Catalogue No.:PAI 13 004021
CAS :
1013023-56-7
Molecular Formula : C29H26ClNO4S
Molecular Weight : 520.04
Sodium 2-(1-((((1R)-1-(3-((1R)-2-(7-chloroquinolin-2-yl)-1-((2-((2-ethylhexyl)oxy)-2-oxoethyl)thio)ethyl)phenyl)-3-(2-(2-hydroxypropan-2-yl)phenyl)propyl)thio)methyl)cyclopropyl)acetate
Sodium 2-(1-((((1R)-1-(3-((1R)-2-(7-chloroquinolin-2-yl)-1-((2-((2-ethylhexyl)oxy)-2-oxoethyl)thio)ethyl)phenyl)-3-(2-(2-hydroxypropan-2-yl)phenyl)propyl)thio)methyl)cyclopropyl)acetate
Catalogue No.:PA 13 0531001
CAS :
NA
Molecular Formula : C45H55ClNNaO5S2
Molecular Weight : 812.5
Methyl (E)-2-(3-(3-(2-(7-chloroquinolin-2-yl)vinyl)phenyl)-3-((methylsulfonyl)oxy)propyl)benzoate
Methyl (E)-2-(3-(3-(2-(7-chloroquinolin-2-yl)vinyl)phenyl)-3-((methylsulfonyl)oxy)propyl)benzoate
Catalogue No.:PAI 13 004022
CAS :
NA
Molecular Formula : C29H26ClNO5S
Molecular Weight : 536.04
(E)-2-(1-(((1-(3-(2-(7-Chloroquinolin-2-yl)vinyl)phenyl)-3-(2-(methoxycarbonyl)phenyl)propyl)thio)methyl)cyclopropyl)acetic Acid
(E)-2-(1-(((1-(3-(2-(7-Chloroquinolin-2-yl)vinyl)phenyl)-3-(2-(methoxycarbonyl)phenyl)propyl)thio)methyl)cyclopropyl)acetic Acid
Catalogue No.:PAI 13 004023
CAS :
NA
Molecular Formula : C34H32ClNO4S
Molecular Weight : 586.14
2-[3-(S)-[3-(2-(7-Chloro-2-quinolinyl)ethenyl)phenyl]-3-hydroxypropyl]phenyl-2-(1’-hydroxy-2’-methoxymethyl)propanol (Mixture of Diastereomers)
2-[3-(S)-[3-(2-(7-Chloro-2-quinolinyl)ethenyl)phenyl]-3-hydroxypropyl]phenyl-2-(1’-hydroxy-2’-methoxymethyl)propanol (Mixture of Diastereomers)
Catalogue No.:PA 13 0531004
CAS :
184764-20-3
Molecular Formula : C31H32ClNO4
Molecular Weight : 518.05
2-[3-[3-[(1E)-2-(7-Chloro-2-quinolinyl)ethenyl]phenyl]-3-oxopropyl]benzoic Acid Methyl Ester
2-[3-[3-[(1E)-2-(7-Chloro-2-quinolinyl)ethenyl]phenyl]-3-oxopropyl]benzoic Acid Methyl Ester
Catalogue No.:PA 13 0531007
CAS :
149968-11-6
Molecular Formula : C28H22ClNO3
Molecular Weight : 455.94
2-[2-[(3S)-3-[3-[(1E)-2-(7-Chloroquinolin-2-yl)ethenyl]phenyl]-3-chloropropyl]phenyl]-2-propanol
2-[2-[(3S)-3-[3-[(1E)-2-(7-Chloroquinolin-2-yl)ethenyl]phenyl]-3-chloropropyl]phenyl]-2-propanol
Catalogue No.:PA 13 0531011
CAS :
880769-28-8
Molecular Formula : C29H27Cl2NO
Molecular Weight : 476.44
(S,E)-3-(2-Acetylphenyl)-1-(3-(2-(7-chloroquinolin-2-yl)vinyl)phenyl)propyl diphenyl Phosphate
(S,E)-3-(2-Acetylphenyl)-1-(3-(2-(7-chloroquinolin-2-yl)vinyl)phenyl)propyl diphenyl Phosphate
Catalogue No.:PAI 13 004024
CAS :
NA
Molecular Formula : C40H33ClNO5P
Molecular Weight : 674.13
Methyl (S,E)-2-(3-(3-(2-(7-chloroquinolin-2-yl)vinyl)phenyl)-3-((methylsulfonyl)oxy)propyl)benzoate
Methyl (S,E)-2-(3-(3-(2-(7-chloroquinolin-2-yl)vinyl)phenyl)-3-((methylsulfonyl)oxy)propyl)benzoate
Catalogue No.:PAI 13 004025
CAS :
906107-36-6
Molecular Formula : C29H26ClNO5S
Molecular Weight : 536.04
(E)-1-(3-(2-(7-Chloroquinolin-2-yl)vinyl)phenyl)-3-(2-(2-hydroxypropan-2-yl)phenyl)propan-1-ol
(E)-1-(3-(2-(7-Chloroquinolin-2-yl)vinyl)phenyl)-3-(2-(2-hydroxypropan-2-yl)phenyl)propan-1-ol
Catalogue No.:PA 13 0531020
CAS :
1079753-36-8
Molecular Formula : C29H28ClNO2
Molecular Weight : 458
Montelukast - Impurity C (sodium Salt)
[1-[[[1-[3-[(E)-2-(7-Chloroquinolin-2-yl)ethenyl]phenyl]-3-[2-(2-hydroxypropan-2-yl)phenyl]propyl]sulfinyl]methyl]cyclopropyl]acetic Acid Sodium
Catalogue No.:PA 13 0531023
CAS :
909796-71-0
Molecular Formula : C35H35ClNNaO4S
Molecular Weight : 624.17
2-(1-((((1R)-1-(3-((1S)-2-(7-Chloroquinolin-2-yl)-1-((2-((2-ethylhexyl)oxy)-2-oxoethyl)thio)ethyl)phenyl)-3-(2-(2-hydroxypropan-2-yl)phenyl)propyl)thio)methyl)cyclopropyl)acetic Acid
2-(1-((((1R)-1-(3-((1S)-2-(7-Chloroquinolin-2-yl)-1-((2-((2-ethylhexyl)oxy)-2-oxoethyl)thio)ethyl)phenyl)-3-(2-(2-hydroxypropan-2-yl)phenyl)propyl)thio)methyl)cyclopropyl)acetic Acid
Catalogue No.:PA 13 0531024
CAS :
2734125-89-2
Molecular Formula : C45H56ClNO5S2
Molecular Weight : 790.52
Sodium 2-(1-((((R)-1-(3-((E)-2-(7-chloroquinolin-2-yl)vinyl)phenyl)-3-(2-(2-hydroxypropan-2-yl)phenyl)propyl)sulfinyl)methyl)cyclopropyl)acetate
Sodium 2-(1-((((R)-1-(3-((E)-2-(7-chloroquinolin-2-yl)vinyl)phenyl)-3-(2-(2-hydroxypropan-2-yl)phenyl)propyl)sulfinyl)methyl)cyclopropyl)acetate
Catalogue No.:PA 13 0531026
CAS :
1250264-16-4
Molecular Formula : C35H35ClNNaO4S
Molecular Weight : 624.17
Sodium 2-(1-((((R)-1-(3-((Z)-2-(7-chloroquinolin-2-yl)vinyl)phenyl)-3-(2-(2-hydroxypropan-2-yl)phenyl)propyl)sulfinyl)methyl)cyclopropyl)acetate
Sodium 2-(1-((((R)-1-(3-((Z)-2-(7-chloroquinolin-2-yl)vinyl)phenyl)-3-(2-(2-hydroxypropan-2-yl)phenyl)propyl)sulfinyl)methyl)cyclopropyl)acetate
Catalogue No.:PA 13 0531027
CAS :
1428448-97-8
Molecular Formula : C35H35ClNNaO4S
Molecular Weight : 624.17

