nabilone and its Impurities
Nabilone is used to treat nausea and vomiting in people under chemotherapy. It is sold under the brand name Cesamet. Reference standards of Nabilone API,and its pharmacopeial, non pharmacopeial impurities, and stable isotopes are listed below.
 
	
			                                   
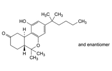
																				(6aR,10aR)-1-hydroxy-6,6-dimethyl-3-(2-methylheptan-2-yl)-6,6a,7,8,10,10a-hexahydro-9H-benzo[c]chromen-9-one
(6aR,10aR)-1-hydroxy-6,6-dimethyl-3-(2-methylheptan-2-yl)-6,6a,7,8,10,10a-hexahydro-9H-benzo[c]chromen-9-one
- Catalogue No.:PA 14 0941009 
- CAS : - 905920-15-2
- Molecular Formula : C23H34O3 
- Molecular Weight : 358.52 

 
																				 
																				 
																				 
																				 
																				 
																				 
																				 
																				 
																				 
																				 
																				 
																				 
																				 
																				 
 
 
 
