Narlaprevir and its Impurities
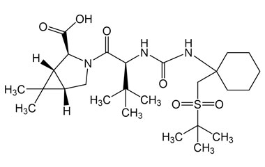
Narlaprevir (trade name Arlansa, codenamed SCH 900518), is an inhibitor of NS3/4A serine protease, intended for the treatment of chronic hepatitis C caused by genotype 1 virus in combination with other antiviral drugs. Reference standards of Narlaprevir API, and its pharmacopeial, non pharmacopeial impurities, and stable isotopes are listed below.

	
			                                  
																				
