nilotinib and its Impurities
Nilotinib is used to treat Philadelphia chromosome positive chronic myelogenous leukaemia. It is sold under the brand name Tasigna. It is not safe for use during pregnancy. Reference standards of Nilotinib API,and its pharmacopeial, non pharmacopeial impurities, and stable isotopes are listed below.
 
	
			                                   
																				3-((4-Chloro-6-(pyridin-3-yl)pyrimidin-2-yl)amino)-4-methyl-N-(3-(4-methyl-1H-imidazol-1-yl)-5-(trifluoromethyl)phenyl)benzamide
3-((4-Chloro-6-(pyridin-3-yl)pyrimidin-2-yl)amino)-4-methyl-N-(3-(4-methyl-1H-imidazol-1-yl)-5-(trifluoromethyl)phenyl)benzamide
- Catalogue No.:PA 14 64560 
- CAS : - NA
- Molecular Formula : C28H21ClF3N7O 
- Molecular Weight : 563.96 
 
	
			                                   
																				3-((5-Chloro-4-(pyridin-3-yl)pyrimidin-2-yl)amino)-4-methyl-N-(3-(4-methyl-1H-imidazol-1-yl)-5-(trifluoromethyl)phenyl)benzamide
3-((5-Chloro-4-(pyridin-3-yl)pyrimidin-2-yl)amino)-4-methyl-N-(3-(4-methyl-1H-imidazol-1-yl)-5-(trifluoromethyl)phenyl)benzamide
- Catalogue No.:PA 14 64640 
- CAS : - 2469039-94-7
- Molecular Formula : C28H21ClF3N7O 
- Molecular Weight : 563.97 
 
	
			                                   
																				4-Methyl-N-(3-(2-methyl-1H-imidazol-1-yl)-5-(trifluoromethyl)phenyl)-3-((4-(pyridin-3-yl)pyrimidin-2-yl)amino)benzamide
4-Methyl-N-(3-(2-methyl-1H-imidazol-1-yl)-5-(trifluoromethyl)phenyl)-3-((4-(pyridin-3-yl)pyrimidin-2-yl)amino)benzamide
- Catalogue No.:PA 14 0641006 
- CAS : - 641571-05-3
- Molecular Formula : C28H22F3N7O 
- Molecular Weight : 529.53 
 
	
			                                   
																				N-(3-(2,4-Dimethyl-1H-imidazol-1-yl)-5-(trifluoromethyl)phenyl)-4-methyl-3-((4-(pyridin-3-yl)pyrimidin-2-yl)amino)benzamide
N-(3-(2,4-Dimethyl-1H-imidazol-1-yl)-5-(trifluoromethyl)phenyl)-4-methyl-3-((4-(pyridin-3-yl)pyrimidin-2-yl)amino)benzamide
- Catalogue No.:PA 14 0641008 
- CAS : - 2119583-25-2
- Molecular Formula : C29H24F3N7O 
- Molecular Weight : 543.55 
 
	
			                                   
																				2,3-Dihydroxy-4-((2-methyl-5-((3-(4-methyl-1H-imidazol-1-yl)-5-(trifluoromethyl)phenyl)carbamoyl)phenyl)(4-(pyridin-3-yl)pyrimidin-2-yl)amino)-4-oxobutanoic acid
2,3-Dihydroxy-4-((2-methyl-5-((3-(4-methyl-1H-imidazol-1-yl)-5-(trifluoromethyl)phenyl)carbamoyl)phenyl)(4-(pyridin-3-yl)pyrimidin-2-yl)amino)-4-oxobutanoic acid
- Catalogue No.:PA 14 0641015 
- CAS : - NA
- Molecular Formula : C32H26F3N7O6 
- Molecular Weight : 661.6 
 
	
			                                   
																				3-Guanidino-4-methyl-N-(3-(4-methyl-1H-imidazol-1-yl)-5-(trifluoromethyl)phenyl)benzamide
3-Guanidino-4-methyl-N-(3-(4-methyl-1H-imidazol-1-yl)-5-(trifluoromethyl)phenyl)benzamide
- Catalogue No.:PA 14 0641016 
- CAS : - 1345336-53-9
- Molecular Formula : C20H19F3N6O 
- Molecular Weight : 416.41 
 
	
			                                   
																				4-Methyl-N-(3-(4-methyl-1H-imidazol-1-yl)-5-(trifluoromethyl)phenyl)-3-(nitroso(4-(pyridin-3-yl)pyrimidin-2-yl)amino)benzamide
4-Methyl-N-(3-(4-methyl-1H-imidazol-1-yl)-5-(trifluoromethyl)phenyl)-3-(nitroso(4-(pyridin-3-yl)pyrimidin-2-yl)amino)benzamide
- Catalogue No.:PA 14 0641020 
- CAS : - 2925306-68-7
- Molecular Formula : C28H21F3N8O2 
- Molecular Weight : 558.53 
 
	
			                                   
																				4-Methyl-N-(3-(4-methyl-1H-imidazol-1-yl)-5-(trifluoromethyl)phenyl)-3,5-bis((4-(pyridin-3-yl)pyrimidin-2-yl)amino)benzamide Hydrochloride
4-Methyl-N-(3-(4-methyl-1H-imidazol-1-yl)-5-(trifluoromethyl)phenyl)-3,5-bis((4-(pyridin-3-yl)pyrimidin-2-yl)amino)benzamide Hydrochloride
- Catalogue No.:PA 14 0641021 
- CAS : - NA
- Molecular Formula : C37H29ClF3N11O 
- Molecular Weight : 736.16 
 
	
			                                   
																				3-Amino-4-methyl-N-(3-(4-methyl-1H-imidazol-1-yl)-5-(trifluoromethyl)phenyl)benzamide Hydrochloride
3-Amino-4-methyl-N-(3-(4-methyl-1H-imidazol-1-yl)-5-(trifluoromethyl)phenyl)benzamide Hydrochloride
- Catalogue No.:PA 14 0641022 
- CAS : - 2322358-68-7
- Molecular Formula : C19H18ClF3N4O 
- Molecular Weight : 410.83 
 
	
			                                   
																				N-(3-(4-Methyl-1H-imidazol-1-yl)-5-(trifluoromethyl)phenyl)-3-(nitroso(4-(pyridin-3-yl)pyrimidin-2-yl)amino)benzamide Hydrochloride
N-(3-(4-Methyl-1H-imidazol-1-yl)-5-(trifluoromethyl)phenyl)-3-(nitroso(4-(pyridin-3-yl)pyrimidin-2-yl)amino)benzamide Hydrochloride
- Catalogue No.:PA 14 0641027 
- CAS : - NA
- Molecular Formula : C27H20ClF3N8O2 
- Molecular Weight : 580.96 
 
	
			                                   
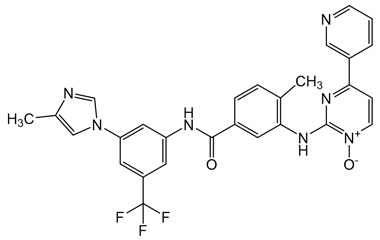
																				3-(2-((2-Methyl-5-((3-(4-methyl-1H-imidazol-1-yl)-5-(trifluoromethyl)phenyl)carbamoyl)phenyl)(nitroso)amino)pyrimidin-4-yl)pyridine 1-oxide
3-(2-((2-Methyl-5-((3-(4-methyl-1H-imidazol-1-yl)-5-(trifluoromethyl)phenyl)carbamoyl)phenyl)(nitroso)amino)pyrimidin-4-yl)pyridine 1-oxide
- Catalogue No.:PA 14 0641030 
- CAS : - NA
- Molecular Formula : C28H21F3N8O3 
- Molecular Weight : 574.52 
 
	
			                                   
																				3-(3-(3-((1E,2E)-3-Amino-1-(pyridin-3-yl)allylidene)guanidino)-4-methylbenzamido)-4-methylbenzoic Acid
3-(3-(3-((1E,2E)-3-Amino-1-(pyridin-3-yl)allylidene)guanidino)-4-methylbenzamido)-4-methylbenzoic Acid
- Catalogue No.:PA 14 0641041 
- CAS : - NA
- Molecular Formula : C25H24N6O3 
- Molecular Weight : 456.51 

 
																				 
																				 
																				 
																				![4-Methyl-1-[3-nitro-5-(trifluoromethyl)phenyl]-1H- PA 14 64540](https://www.pharmaffiliates.com/pimages/PA1464540.jpg) 
																				 
																				 
																				 
																				 
																				 
																				 
																				 
																				 
																				 
																				 
																				 
																				 
																				![3-[(Aminoiminomethyl)amino]-4-methylbenzoic Acid E PA 14 64660](https://www.pharmaffiliates.com/pimages/PA1464660.jpg) 
																				 
																				 
																				 
																				 
																				 
																				 
																				 
																				 
																				 
																				 
																				 
																				 
																				 
																				 
																				 
																				 
																				 
																				 
																				 
																				 
																				 
																				 
																				 
																				 
																				 
																				 
																				 
																				 
																				 
																				 
																				 
																				 
																				 
																				 
																				 
																				 
																				 
																				 
																				 
																				 
																				 
																				 
																				 
																				 
																				 
																				 
 
 
 
