norethisterone and its Impurities
A synthetic progestogen of the 19-nortestosterone group, Norethisterone is used as a hormonal contraceptives and for treating gynaecological disorders. It is a a derivative of testosterone and is used to treat premenstrual syndrome, dysmenorrhea, menorrhagia, irregular menstruation, menopausal symptoms.Reference standards of Norethisterone API,and its pharmacopeial, non pharmacopeial impurities, and stable isotopes are listed below.
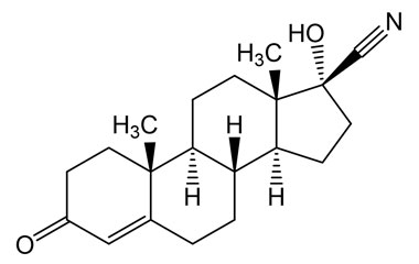
(8S,13S,14S,17R)-17-Hydroxy-13-methyl-3-oxo-2,3,6,7,8,11,12,13,14,15,16,17-dodecahydro-1H-cyclopenta[a]phenanthrene-17-carbonitrile
(8S,13S,14S,17R)-17-Hydroxy-13-methyl-3-oxo-2,3,6,7,8,11,12,13,14,15,16,17-dodecahydro-1H-cyclopenta[a]phenanthrene-17-carbonitrile
Catalogue No.:PA 14 0381000
CAS :
133398-58-0
Molecular Formula : C19H23NO2
Molecular Weight : 297.4
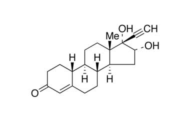
(8S,9S,10S,13S,14S,17R)-17-Ethynyl-10-hydroperoxy-13-methyl-3-oxo-2,3,6,7,8,9,10,11,12,13,14,15,16,17-tetradecahydro-1H-cyclopenta[a]phenanthren-17-yl (E)-hex-3-enoate
(8S,9S,10S,13S,14S,17R)-17-Ethynyl-10-hydroperoxy-13-methyl-3-oxo-2,3,6,7,8,9,10,11,12,13,14,15,16,17-tetradecahydro-1H-cyclopenta[a]phenanthren-17-yl (E)-hex-3-enoate
Catalogue No.:PA 14 0381007
CAS :
NA
Molecular Formula : C26H34O5
Molecular Weight : 426.55
(8R,9S,10R,13S,14S,17S)-6-Bromo-17-ethynyl-13-methyl-3-oxo-2,3,6,7,8,9,10,11,12,13,14,15,16,17-tetradecahydro-1H-cyclopenta[a]phenanthren-17-yl Acetate
(8R,9S,10R,13S,14S,17S)-6-Bromo-17-ethynyl-13-methyl-3-oxo-2,3,6,7,8,9,10,11,12,13,14,15,16,17-tetradecahydro-1H-cyclopenta[a]phenanthren-17-yl Acetate
Catalogue No.:PAI 14 038001
CAS :
NA
Molecular Formula : C22H27BrO3
Molecular Weight : 419.36
(2S,8R,9S,10R,13S,14S,17R)-17-Ethynyl-17-hydroxy-10,13-dimethyl-3-oxo-2,3,6,7,8,9,10,11,12,13,14,15,16,17-tetradecahydro-1H-cyclopenta[a]phenanthrene-2-carbonitrile
(2S,8R,9S,10R,13S,14S,17R)-17-Ethynyl-17-hydroxy-10,13-dimethyl-3-oxo-2,3,6,7,8,9,10,11,12,13,14,15,16,17-tetradecahydro-1H-cyclopenta[a]phenanthrene-2-carbonitrile
Catalogue No.:PA 14 0381009
CAS :
13648-12-9
Molecular Formula : C22H27NO2
Molecular Weight : 337.46

