octreotide and its Impurities
Octreotide is used for the treatment of growth hormone producing tumors. Octreotide is an octapeptide.Reference standards of Octreotide API,and its pharmacopeial, non pharmacopeial impurities, and stable isotopes are listed below.
 
	
			                                   
																				(4R,7S,10S,13R,16S,19R)-13-((1H-Indol-3-yl)methyl)-19-amino-10-(4-aminobutyl)-16-benzyl-7-((R)-1-hydroxyethyl)-6,9,12,15,18-pentaoxo-1,2-dithia-5,8,11,14,17-pentaazacycloicosane-4-carboxylic Acid
(4R,7S,10S,13R,16S,19R)-13-((1H-Indol-3-yl)methyl)-19-amino-10-(4-aminobutyl)-16-benzyl-7-((R)-1-hydroxyethyl)-6,9,12,15,18-pentaoxo-1,2-dithia-5,8,11,14,17-pentaazacycloicosane-4-carboxylic Acid
- Catalogue No.:PA 15 34540 
- CAS : - 191806-77-6
- Molecular Formula : C36H48N8O8S2 
- Molecular Weight : 784.95 
 
	
			                                   
																				(S)-6-Amino-2-((R)-2-((S)-2-((R)-2-((R)-2-amino-3-phenylpropanamido)-3-mercaptopropanamido)-3-phenylpropanamido)-3-(1H-indol-3-yl)propanamido)-N-((2S,3R)-1-(((R)-1-(((2R,3R)-1,3-dihydroxybutan-2-yl)amino)-3-mercapto-1-oxopropan-2-yl)amino)-3-hydroxy-1-oxobutan-2-yl)hexanamide
(S)-6-Amino-2-((R)-2-((S)-2-((R)-2-((R)-2-amino-3-phenylpropanamido)-3-mercaptopropanamido)-3-phenylpropanamido)-3-(1H-indol-3-yl)propanamido)-N-((2S,3R)-1-(((R)-1-(((2R,3R)-1,3-dihydroxybutan-2-yl)amino)-3-mercapto-1-oxopropan-2-yl)amino)-3-hydroxy-1-oxobutan-2-yl)hexanamide
- Catalogue No.:PA 15 34550 
- CAS : - 205652-45-5
- Molecular Formula : C49H68N10O10S2 
- Molecular Weight : 1021.26 
 
	
			                                   
																				(4R,7S,10S,13R,16S,19R)-13-((1H-Indol-3-yl)methyl)-N-acetyl-19-((R)-2-amino-3-phenylpropanamido)-10-(4-aminobutyl)-16-benzyl-N-((2R,3R)-1,3-dihydroxybutan-2-yl)-7-((R)-1-hydroxyethyl)-6,9,12,15,18-pentaoxo-1,2-dithia-5,8,11,14,17-pentaazacycloicosane-4-carboxamide
(4R,7S,10S,13R,16S,19R)-13-((1H-Indol-3-yl)methyl)-N-acetyl-19-((R)-2-amino-3-phenylpropanamido)-10-(4-aminobutyl)-16-benzyl-N-((2R,3R)-1,3-dihydroxybutan-2-yl)-7-((R)-1-hydroxyethyl)-6,9,12,15,18-pentaoxo-1,2-dithia-5,8,11,14,17-pentaazacycloicosane-4-carboxamide
- Catalogue No.:PA 15 34560 
- CAS : - 1546983-33-8
- Molecular Formula : C51H68N10O11S2 
- Molecular Weight : 1061.28 
 
	
			                                   
																				(4R,7S,10S,13R,16S,19R)-19-((R)-2-Amino-3-phenylpropanamido)-10-(4-aminobutyl)-16-benzyl-N-((2R,3R)-1,3-dihydroxybutan-2-yl)-7-((R)-1-hydroxyethyl)-13-((1-(hydroxymethyl)-1H-indol-3-yl)methyl)-6,9,12,15,18-pentaoxo-1,2-dithia-5,8,11,14,17-pentaazacycloicosane-4-carboxamide
(4R,7S,10S,13R,16S,19R)-19-((R)-2-Amino-3-phenylpropanamido)-10-(4-aminobutyl)-16-benzyl-N-((2R,3R)-1,3-dihydroxybutan-2-yl)-7-((R)-1-hydroxyethyl)-13-((1-(hydroxymethyl)-1H-indol-3-yl)methyl)-6,9,12,15,18-pentaoxo-1,2-dithia-5,8,11,14,17-pentaazacycloicosane-4-carboxamide
- Catalogue No.:PA 15 34580 
- CAS : - 1546983-16-7
- Molecular Formula : C50H68N10O11S2 
- Molecular Weight : 1049.27 
 
	
			                                   
																				(R)-N-((4R,7S,10S,13R,16S,19R)-13-((1H-Indol-3-yl)methyl)-10-(4-aminobutyl)-16-benzyl-7-((R)-1-hydroxyethyl)-4-(hydroxymethyl)-6,9,12,15,18-pentaoxo-1,2-dithia-5,8,11,14,17-pentaazacycloicosan-19-yl)-2-amino-3-phenylpropanamide
(R)-N-((4R,7S,10S,13R,16S,19R)-13-((1H-Indol-3-yl)methyl)-10-(4-aminobutyl)-16-benzyl-7-((R)-1-hydroxyethyl)-4-(hydroxymethyl)-6,9,12,15,18-pentaoxo-1,2-dithia-5,8,11,14,17-pentaazacycloicosan-19-yl)-2-amino-3-phenylpropanamide
- Catalogue No.:PA 15 34590 
- CAS : - 1546983-18-9
- Molecular Formula : C45H59N9O8S2 
- Molecular Weight : 918.14 
 
	
			                                   
																				(5R,8S,11S,14R,17S,20R)-14-((1H-Indol-3-yl)methyl)-20-((R)-2-amino-3-phenylpropanamido)-11-(4-aminobutyl)-17-benzyl-N-((2R,3R)-1,3-dihydroxybutan-2-yl)-8-((R)-1-hydroxyethyl)-7,10,13,16,19-pentaoxo-1,2,3-trithia-6,9,12,15,18-pentaazacyclohenicosane-5-carboxamide
(5R,8S,11S,14R,17S,20R)-14-((1H-Indol-3-yl)methyl)-20-((R)-2-amino-3-phenylpropanamido)-11-(4-aminobutyl)-17-benzyl-N-((2R,3R)-1,3-dihydroxybutan-2-yl)-8-((R)-1-hydroxyethyl)-7,10,13,16,19-pentaoxo-1,2,3-trithia-6,9,12,15,18-pentaazacyclohenicosane-5-carboxamide
- Catalogue No.:PA 15 34610 
- CAS : - NA
- Molecular Formula : C49H66N10O10S3 
- Molecular Weight : 1051.31 
 
	
			                                   
																				(4S,7S,10S,13R,16S,19R)-13-((1H-Indol-3-yl)Methyl)-19-((R)-2-amino-3-phenylpropanamido)-10-(4-aminobutyl)-16-benzyl-7-((R)-1-hydroxyethyl)-6,9,12,15,18-pentaoxo-1,2-dithia-5,8,11,14,17-pentaazacycloicosane-4-carboxylic acid compound with 2,2,2-trifluoroacetic acid (1:2)
(4S,7S,10S,13R,16S,19R)-13-((1H-Indol-3-yl)Methyl)-19-((R)-2-amino-3-phenylpropanamido)-10-(4-aminobutyl)-16-benzyl-7-((R)-1-hydroxyethyl)-6,9,12,15,18-pentaoxo-1,2-dithia-5,8,11,14,17-pentaazacycloicosane-4-carboxylic acid compound with 2,2,2-trifluoroacetic acid (1:2)
- Catalogue No.:PA 15 0341002 
- CAS : - NA
- Molecular Formula : C49H59F6N9O13S2 
- Molecular Weight : 1160.17 
 
	
			                                   
																				(4R,7R,10S,13R,16S,19R)-13-((1H-Indol-3-yl)Methyl)-19-(2-amino-3-phenylpropanamido)-10-(4-aminobutyl)-16-benzyl-N-((2R,3R)-1,3-dihydroxybutan-2-yl)-7-((S)-1-hydroxyethyl)-6,9,12,15,18-pentaoxo-1,2-dithia-5,8,11,14,17-pentaazacycloicosane-4-carboxamide bis(2,2,2-trifluoroacetate)
(4R,7R,10S,13R,16S,19R)-13-((1H-Indol-3-yl)Methyl)-19-(2-amino-3-phenylpropanamido)-10-(4-aminobutyl)-16-benzyl-N-((2R,3R)-1,3-dihydroxybutan-2-yl)-7-((S)-1-hydroxyethyl)-6,9,12,15,18-pentaoxo-1,2-dithia-5,8,11,14,17-pentaazacycloicosane-4-carboxamide bis(2,2,2-trifluoroacetate)
- Catalogue No.:PA 15 0341003 
- CAS : - NA
- Molecular Formula : C53H68F6N10O14S2 
- Molecular Weight : 1247.29 
 
	
			                                   
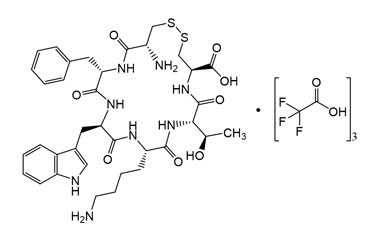
																				(4R,7S,10S,13R,16S,19R)-13-((1H-Indol-3-yl)Methyl)-19-amino-10-(4-aminobutyl)-16-benzyl-7-((R)-1-hydroxyethyl)-6,9,12,15,18-pentaoxo-1,2-dithia-5,8,11,14,17-pentaazacycloicosane-4-carboxylic acid,Tri-Trifluoroacetate
(4R,7S,10S,13R,16S,19R)-13-((1H-Indol-3-yl)Methyl)-19-amino-10-(4-aminobutyl)-16-benzyl-7-((R)-1-hydroxyethyl)-6,9,12,15,18-pentaoxo-1,2-dithia-5,8,11,14,17-pentaazacycloicosane-4-carboxylic acid,Tri-Trifluoroacetate
- Catalogue No.:PA 15 0341004 
- CAS : - NA
- Molecular Formula : C42H51F9N8O14S2 
- Molecular Weight : 1127.02 
 
	
			                                   
																				(2R,5S,6R)-5-((2S,5R,8S,11R,14R)-5-((1H-Indol-3-yl)Methyl)-14-amino-2-(4-aminobutyl)-8-benzyl-11-(mercaptomethyl)-4,7,10,13-tetraoxo-15-phenyl-3,6,9,12-tetraazapentadecanamido)-N-((2R,3R)-1,3-dihydroxybutan-2-yl)-6-hydroxy-2-(mercaptomethyl)-4-oxoheptanamide tris(2,2,2-trifluoroacetate)
(2R,5S,6R)-5-((2S,5R,8S,11R,14R)-5-((1H-Indol-3-yl)Methyl)-14-amino-2-(4-aminobutyl)-8-benzyl-11-(mercaptomethyl)-4,7,10,13-tetraoxo-15-phenyl-3,6,9,12-tetraazapentadecanamido)-N-((2R,3R)-1,3-dihydroxybutan-2-yl)-6-hydroxy-2-(mercaptomethyl)-4-oxoheptanamide tris(2,2,2-trifluoroacetate)
- Catalogue No.:PA 15 0341005 
- CAS : - NA
- Molecular Formula : C56H72F9N9O16S2 
- Molecular Weight : 1362.34 
 
	
			                                   
																				D-Phenylalanyl-S-sulfanyl-L-cysteinyl-L-phenylalanyl-Dtryptophyl-L-lysyl-L-threonyl-L-cysteinyl-L-threoninol cyclic (2 → 7)-trisulfide
D-Phenylalanyl-S-sulfanyl-L-cysteinyl-L-phenylalanyl-Dtryptophyl-L-lysyl-L-threonyl-L-cysteinyl-L-threoninol cyclic (2 → 7)-trisulfide
- Catalogue No.:PA 15 0340050 
- CAS : - 1546983-27-0
- Molecular Formula : C49H66N10O10S3 
- Molecular Weight : 1051.31 
 
	
			                                   
																				(2R,3R)-3-((4R,7S,10S,13R,16S,19R)-13-((1H-Indol-3-yl)methyl)-19-((R)-2-amino-3-phenylpropanamido)-10-(4-aminobutyl)-16-benzyl-7-(1-hydroxyethyl)-6,9,12,15,18-pentaoxo-1,2-dithia-5,8,11,14,17-pentaazacycloicosane-4-carboxamido)-4-hydroxybutan-2-yl 2-hydroxyacetate
(2R,3R)-3-((4R,7S,10S,13R,16S,19R)-13-((1H-Indol-3-yl)methyl)-19-((R)-2-amino-3-phenylpropanamido)-10-(4-aminobutyl)-16-benzyl-7-(1-hydroxyethyl)-6,9,12,15,18-pentaoxo-1,2-dithia-5,8,11,14,17-pentaazacycloicosane-4-carboxamido)-4-hydroxybutan-2-yl 2-hydroxyacetate
- Catalogue No.:PA 15 0341011 
- CAS : - NA
- Molecular Formula : C51H68N10O12S2 
- Molecular Weight : 1077.28 
 
	
			                                   
																				(4R,7S,10S,13R,16S,19R)-13-((1H-Indol-3-yl)methyl)-19-((R)-2-amino-3-phenylpropanamido)-16-benzyl-N-((2R,3R)-1,3-dihydroxybutan-2-yl)-10-(4-(2-hydroxyacetamido)butyl)-7-(1-hydroxyethyl)-6,9,12,15,18-pentaoxo-1,2-dithia-5,8,11,14,17-pentaazacycloicosane-4-carboxamide
(4R,7S,10S,13R,16S,19R)-13-((1H-Indol-3-yl)methyl)-19-((R)-2-amino-3-phenylpropanamido)-16-benzyl-N-((2R,3R)-1,3-dihydroxybutan-2-yl)-10-(4-(2-hydroxyacetamido)butyl)-7-(1-hydroxyethyl)-6,9,12,15,18-pentaoxo-1,2-dithia-5,8,11,14,17-pentaazacycloicosane-4-carboxamide
- Catalogue No.:PA 15 0341012 
- CAS : - NA
- Molecular Formula : C51H68N10O12S2 
- Molecular Weight : 1077.28 
 
	
			                                   
																				(9H-Fluoren-9-yl)methyl ((2R,4R)-1-((2-chlorocyclohexa-2,4-dien-1-yl)(phenyl)(p-tolyl)methoxy)-4-hydroxy-2-methylpentan-3-yl)carbamate
(9H-Fluoren-9-yl)methyl ((2R,4R)-1-((2-chlorocyclohexa-2,4-dien-1-yl)(phenyl)(p-tolyl)methoxy)-4-hydroxy-2-methylpentan-3-yl)carbamate
- Catalogue No.:PAI 15 034001 
- CAS : - NA
- Molecular Formula : C41H42ClNO4 
- Molecular Weight : 648.24 
 
	
			                                   
																				(9H-Fluoren-9-yl)methyl ((2R)-1-(((3R)-1,3-dihydroxybutan-2-yl)amino)-1-oxo-3-(tritylthio)propan-2-yl)carbamate
(9H-Fluoren-9-yl)methyl ((2R)-1-(((3R)-1,3-dihydroxybutan-2-yl)amino)-1-oxo-3-(tritylthio)propan-2-yl)carbamate
- Catalogue No.:PAI 15 034002 
- CAS : - NA
- Molecular Formula : C41H40N2O5S 
- Molecular Weight : 672.84 
 
	
			                                   
																				(9H-Fluoren-9-yl)methyl (1-(((2R)-1-(((3R)-1,3-dihydroxybutan-2-yl)amino)-1-oxo-3-(tritylthio)propan-2-yl)amino)-3-hydroxy-1-oxobutan-2-yl)carbamate
(9H-Fluoren-9-yl)methyl (1-(((2R)-1-(((3R)-1,3-dihydroxybutan-2-yl)amino)-1-oxo-3-(tritylthio)propan-2-yl)amino)-3-hydroxy-1-oxobutan-2-yl)carbamate
- Catalogue No.:PAI 15 034004 
- CAS : - NA
- Molecular Formula : C45H47N3O7S 
- Molecular Weight : 773.95 
 
	
			                                   
																				2-Amino-N-((2R)-1-(((3R)-1,3-dihydroxybutan-2-yl)amino)-1-oxo-3-(tritylthio)propan-2-yl)-3-hydroxybutanamide
2-Amino-N-((2R)-1-(((3R)-1,3-dihydroxybutan-2-yl)amino)-1-oxo-3-(tritylthio)propan-2-yl)-3-hydroxybutanamide
- Catalogue No.:PAI 15 034005 
- CAS : - NA
- Molecular Formula : C30H37N3O5S 
- Molecular Weight : 551.7 
 
	
			                                   
																				(9H-Fluoren-9-yl)methyl ((2S)-6-amino-1-((1-(((2R)-1-(((3R)-1,3-dihydroxybutan-2-yl)amino)-1-oxo-3-(tritylthio)propan-2-yl)amino)-3-hydroxy-1-oxobutan-2-yl)amino)-1-oxohexan-2-yl)carbamate
(9H-Fluoren-9-yl)methyl ((2S)-6-amino-1-((1-(((2R)-1-(((3R)-1,3-dihydroxybutan-2-yl)amino)-1-oxo-3-(tritylthio)propan-2-yl)amino)-3-hydroxy-1-oxobutan-2-yl)amino)-1-oxohexan-2-yl)carbamate
- Catalogue No.:PAI 15 034006 
- CAS : - NA
- Molecular Formula : C51H59N5O8S 
- Molecular Weight : 902.12 
 
	
			                                   
																				(2S)-2,6-Diamino-N-(1-(((2R)-1-(((3R)-1,3-dihydroxybutan-2-yl)amino)-1-oxo-3-(tritylthio)propan-2-yl)amino)-3-hydroxy-1-oxobutan-2-yl)hexanamide
(2S)-2,6-Diamino-N-(1-(((2R)-1-(((3R)-1,3-dihydroxybutan-2-yl)amino)-1-oxo-3-(tritylthio)propan-2-yl)amino)-3-hydroxy-1-oxobutan-2-yl)hexanamide
- Catalogue No.:PAI 15 034007 
- CAS : - NA
- Molecular Formula : C36H49N5O6S 
- Molecular Weight : 679.88 
 
	
			                                   
																				(9H-Fluoren-9-yl)methyl ((5S,11R,15R)-5-(4-aminobutyl)-15-hydroxy-8-(1-hydroxyethyl)-14-(hydroxymethyl)-1-(1H-indol-3-yl)-3,6,9,12-tetraoxo-11-((tritylthio)methyl)-4,7,10,13-tetraazahexadecan-2-yl)carbamate
(9H-Fluoren-9-yl)methyl ((5S,11R,15R)-5-(4-aminobutyl)-15-hydroxy-8-(1-hydroxyethyl)-14-(hydroxymethyl)-1-(1H-indol-3-yl)-3,6,9,12-tetraoxo-11-((tritylthio)methyl)-4,7,10,13-tetraazahexadecan-2-yl)carbamate
- Catalogue No.:PAI 15 034008 
- CAS : - NA
- Molecular Formula : C62H69N7O9S 
- Molecular Weight : 1088.33 
 
	
			                                   
																				(2S)-6-Amino-2-(2-amino-3-(1H-indol-3-yl)propanamido)-N-(1-(((2R)-1-(((3R)-1,3-dihydroxybutan-2-yl)amino)-1-oxo-3-(tritylthio)propan-2-yl)amino)-3-hydroxy-1-oxobutan-2-yl)hexanamide
(2S)-6-Amino-2-(2-amino-3-(1H-indol-3-yl)propanamido)-N-(1-(((2R)-1-(((3R)-1,3-dihydroxybutan-2-yl)amino)-1-oxo-3-(tritylthio)propan-2-yl)amino)-3-hydroxy-1-oxobutan-2-yl)hexanamide
- Catalogue No.:PAI 15 034009 
- CAS : - NA
- Molecular Formula : C47H59N7O7S 
- Molecular Weight : 866.09 
 
	
			                                   
																				(9H-Fluoren-9-yl)methyl ((2S,8S,14R,18R)-5-((1H-indol-3-yl)methyl)-8-(4-aminobutyl)-18-hydroxy-11-(1-hydroxyethyl)-17-(hydroxymethyl)-3,6,9,12,15-pentaoxo-1-phenyl-14-((tritylthio)methyl)-4,7,10,13,16-pentaazanonadecan-2-yl)carbamate
(9H-Fluoren-9-yl)methyl ((2S,8S,14R,18R)-5-((1H-indol-3-yl)methyl)-8-(4-aminobutyl)-18-hydroxy-11-(1-hydroxyethyl)-17-(hydroxymethyl)-3,6,9,12,15-pentaoxo-1-phenyl-14-((tritylthio)methyl)-4,7,10,13,16-pentaazanonadecan-2-yl)carbamate
- Catalogue No.:PAI 15 034010 
- CAS : - NA
- Molecular Formula : C71H78N8O10S 
- Molecular Weight : 1235.51 
 
	
			                                   
																				(2S)-6-Amino-2-(2-((S)-2-amino-3-phenylpropanamido)-3-(1H-indol-3-yl)propanamido)-N-(1-(((2R)-1-(((3R)-1,3-dihydroxybutan-2-yl)amino)-1-oxo-3-(tritylthio)propan-2-yl)amino)-3-hydroxy-1-oxobutan-2-yl)hexanamide
(2S)-6-Amino-2-(2-((S)-2-amino-3-phenylpropanamido)-3-(1H-indol-3-yl)propanamido)-N-(1-(((2R)-1-(((3R)-1,3-dihydroxybutan-2-yl)amino)-1-oxo-3-(tritylthio)propan-2-yl)amino)-3-hydroxy-1-oxobutan-2-yl)hexanamide
- Catalogue No.:PAI 15 034011 
- CAS : - NA
- Molecular Formula : C56H68N8O8S 
- Molecular Weight : 1013.27 
 
	
			                                   
																				(2S)-6-Amino-2-(2-((S)-2-((R)-2-((R)-2-amino-3-phenylpropanamido)-3-(tritylthio)propanamido)-3-phenylpropanamido)-3-(1H-indol-3-yl)propanamido)-N-(1-(((2R)-1-(((3R)-1,3-dihydroxybutan-2-yl)amino)-1-oxo-3-(tritylthio)propan-2-yl)amino)-3-hydroxy-1-oxobutan-2-yl)hexanamide
(2S)-6-Amino-2-(2-((S)-2-((R)-2-((R)-2-amino-3-phenylpropanamido)-3-(tritylthio)propanamido)-3-phenylpropanamido)-3-(1H-indol-3-yl)propanamido)-N-(1-(((2R)-1-(((3R)-1,3-dihydroxybutan-2-yl)amino)-1-oxo-3-(tritylthio)propan-2-yl)amino)-3-hydroxy-1-oxobutan-2-yl)hexanamide
- Catalogue No.:PAI 15 034012 
- CAS : - NA
- Molecular Formula : C87H96N10O10S2 
- Molecular Weight : 1505.91 
 
	
			                                   
																				(2S)-6-Amino-2-(2-((S)-2-((R)-2-((R)-2-amino-3-phenylpropanamido)-3-mercaptopropanamido)-3-phenylpropanamido)-3-(1H-indol-3-yl)propanamido)-N-(1-(((2R)-1-(((3R)-1,3-dihydroxybutan-2-yl)amino)-3-mercapto-1-oxopropan-2-yl)amino)-3-hydroxy-1-oxobutan-2-yl)hexanamide
(2S)-6-Amino-2-(2-((S)-2-((R)-2-((R)-2-amino-3-phenylpropanamido)-3-mercaptopropanamido)-3-phenylpropanamido)-3-(1H-indol-3-yl)propanamido)-N-(1-(((2R)-1-(((3R)-1,3-dihydroxybutan-2-yl)amino)-3-mercapto-1-oxopropan-2-yl)amino)-3-hydroxy-1-oxobutan-2-yl)hexanamide
- Catalogue No.:PAI 15 034013 
- CAS : - NA
- Molecular Formula : C49H68N10O10S2 
- Molecular Weight : 1021.26 
 
	
			                                   
																				(9H-Fluoren-9-yl)methyl ((4R,7S,13S,19R,23R)-10-((1H-indol-3-yl)methyl)-13-(4-aminobutyl)-7-benzyl-23-hydroxy-16-(1-hydroxyethyl)-22-(hydroxymethyl)-5,8,11,14,17,20-hexaoxo-1,1,1-triphenyl-19-((tritylthio)methyl)-2-thia-6,9,12,15,18,21-hexaazatetracosan-4-yl)carbamate
(9H-Fluoren-9-yl)methyl ((4R,7S,13S,19R,23R)-10-((1H-indol-3-yl)methyl)-13-(4-aminobutyl)-7-benzyl-23-hydroxy-16-(1-hydroxyethyl)-22-(hydroxymethyl)-5,8,11,14,17,20-hexaoxo-1,1,1-triphenyl-19-((tritylthio)methyl)-2-thia-6,9,12,15,18,21-hexaazatetracosan-4-yl)carbamate
- Catalogue No.:PAI 15 034014 
- CAS : - NA
- Molecular Formula : C93H97N9O11S2 
- Molecular Weight : 1580.97 
 
	
			                                   
																				(2S)-6-Amino-2-(2-((S)-2-((R)-2-amino-3-(tritylthio)propanamido)-3-phenylpropanamido)-3-(1H-indol-3-yl)propanamido)-N-(1-(((2R)-1-(((3R)-1,3-dihydroxybutan-2-yl)amino)-1-oxo-3-(tritylthio)propan-2-yl)amino)-3-hydroxy-1-oxobutan-2-yl)hexanamide
(2S)-6-Amino-2-(2-((S)-2-((R)-2-amino-3-(tritylthio)propanamido)-3-phenylpropanamido)-3-(1H-indol-3-yl)propanamido)-N-(1-(((2R)-1-(((3R)-1,3-dihydroxybutan-2-yl)amino)-1-oxo-3-(tritylthio)propan-2-yl)amino)-3-hydroxy-1-oxobutan-2-yl)hexanamide
- Catalogue No.:PAI 15 034015 
- CAS : - NA
- Molecular Formula : C78H87N9O9S2 
- Molecular Weight : 1358.73 
 
	
			                                   
																				(9H-Fluoren-9-yl)methyl ((2R,5R,8S,14S,20R,24R)-11-((1H-indol-3-yl)methyl)-14-(4-aminobutyl)-8-benzyl-24-hydroxy-17-(1-hydroxyethyl)-23-(hydroxymethyl)-3,6,9,12,15,18,21-heptaoxo-1-phenyl-5,20-bis((tritylthio)methyl)-4,7,10,13,16,19,22-heptaazapentacosan-2-yl)carbamate
(9H-Fluoren-9-yl)methyl ((2R,5R,8S,14S,20R,24R)-11-((1H-indol-3-yl)methyl)-14-(4-aminobutyl)-8-benzyl-24-hydroxy-17-(1-hydroxyethyl)-23-(hydroxymethyl)-3,6,9,12,15,18,21-heptaoxo-1-phenyl-5,20-bis((tritylthio)methyl)-4,7,10,13,16,19,22-heptaazapentacosan-2-yl)carbamate
- Catalogue No.:PAI 15 034016 
- CAS : - NA
- Molecular Formula : C102H106N10O12S2 
- Molecular Weight : 1728.15 
 
	
			                                   
																				(4R,10S,16S,19R)-13-((1H-Indol-3-yl)methyl)-19-((R)-2-amino-3-phenylpropanamido)-10-(4-aminobutyl)-16-benzyl-N-((3R)-1,3-dihydroxybutan-2-yl)-7-(1-hydroxyethyl)-6,9,12,15,18-pentaoxo-1,2-dithia-5,8,11,14,17-pentaazacycloicosane-4-carboxamide
(4R,10S,16S,19R)-13-((1H-Indol-3-yl)methyl)-19-((R)-2-amino-3-phenylpropanamido)-10-(4-aminobutyl)-16-benzyl-N-((3R)-1,3-dihydroxybutan-2-yl)-7-(1-hydroxyethyl)-6,9,12,15,18-pentaoxo-1,2-dithia-5,8,11,14,17-pentaazacycloicosane-4-carboxamide
- Catalogue No.:PAI 15 034017 
- CAS : - NA
- Molecular Formula : C49H66N10O10S2 
- Molecular Weight : 1019.25 
 
	
			                                   
																				(9H-Fluoren-9-yl)methyl ((3R)-1-((2-chlorocyclohexa-2,4-dien-1-yl)(phenyl)(p-tolyl)methoxy)-3-hydroxybutan-2-yl)carbamate
(9H-Fluoren-9-yl)methyl ((3R)-1-((2-chlorocyclohexa-2,4-dien-1-yl)(phenyl)(p-tolyl)methoxy)-3-hydroxybutan-2-yl)carbamate
- Catalogue No.:PAI 15 034018 
- CAS : - NA
- Molecular Formula : C39H38ClNO4 
- Molecular Weight : 620.19 
 
	
			                                   
																				D-Phenylalanyl-L-cysteinyl-L-phenylalanyl-D-tryptophyl-L-lysyl-L-threonyl-N-[(2R,3R)-1,3-dihydroxybutan-2-yl]-Sacetamidomethyl-L-cysteinamide Trifluoroacetate (1:x)
D-Phenylalanyl-L-cysteinyl-L-phenylalanyl-D-tryptophyl-L-lysyl-L-threonyl-N-[(2R,3R)-1,3-dihydroxybutan-2-yl]-Sacetamidomethyl-L-cysteinamide Trifluoroacetate (1:x)
- Catalogue No.:PA PEP 003180 
- CAS : - NA
- Molecular Formula : C52H73N11O11S2 . x(C2HF3O2) 
- Molecular Weight : 1092.34 + x(114.02) 
 
	
			                                   
																				(4R,7S,10S,13S,16S,19R)-13-((1H-Indol-3-yl)methyl)-19-((S)-2-amino-3-phenylpropanamido)-10-(4-aminobutyl)-16-benzyl-7-((R)-1-hydroxyethyl)-6,9,12,15,18-pentaoxo-1,2-dithia-5,8,11,14,17-pentaazacycloicosane-4-carboxylic Acid
(4R,7S,10S,13S,16S,19R)-13-((1H-Indol-3-yl)methyl)-19-((S)-2-amino-3-phenylpropanamido)-10-(4-aminobutyl)-16-benzyl-7-((R)-1-hydroxyethyl)-6,9,12,15,18-pentaoxo-1,2-dithia-5,8,11,14,17-pentaazacycloicosane-4-carboxylic Acid
- Catalogue No.:PA PEP 003256 
- CAS : - NA
- Molecular Formula : C45H57N9O9S2 
- Molecular Weight : 932.13 
 
	
			                                   
																				(4R,7S,10S,13S,16S,19R)-13-((1H-Indol-3-yl)methyl)-10-(4-acetamidobutyl)-19-((S)-2-amino-3-phenylpropanamido)-16-benzyl-N-((2R,3R)-1,3-dihydroxybutan-2-yl)-7-((R)-1-hydroxyethyl)-6,9,12,15,18-pentaoxo-1,2-dithia-5,8,11,14,17-pentaazacycloicosane-4-carboxamide
(4R,7S,10S,13S,16S,19R)-13-((1H-Indol-3-yl)methyl)-10-(4-acetamidobutyl)-19-((S)-2-amino-3-phenylpropanamido)-16-benzyl-N-((2R,3R)-1,3-dihydroxybutan-2-yl)-7-((R)-1-hydroxyethyl)-6,9,12,15,18-pentaoxo-1,2-dithia-5,8,11,14,17-pentaazacycloicosane-4-carboxamide
- Catalogue No.:PA PEP 003258 
- CAS : - NA
- Molecular Formula : C51H68N10O11S2 
- Molecular Weight : 1061.28 
 
	
			                                   
																				(S)-N-((2S,3R)-1-(((R)-3-((Acetamidomethyl)thio)-1-amino-1-oxopropan-2-yl)((2R,3R)-1,3-dihydroxybutan-2-yl)amino)-3-hydroxy-1-oxobutan-2-yl)-6-amino-2-((R)-2-((S)-2-((R)-2-((R)-2-amino-3-phenylpropanamido)-3-mercaptopropanamido)-3-phenylpropanamido)-3-(1H-indol-3-yl)propanamido)hexanamide 2,2,2-trifluoroacetate
(S)-N-((2S,3R)-1-(((R)-3-((Acetamidomethyl)thio)-1-amino-1-oxopropan-2-yl)((2R,3R)-1,3-dihydroxybutan-2-yl)amino)-3-hydroxy-1-oxobutan-2-yl)-6-amino-2-((R)-2-((S)-2-((R)-2-((R)-2-amino-3-phenylpropanamido)-3-mercaptopropanamido)-3-phenylpropanamido)-3-(1H-indol-3-yl)propanamido)hexanamide 2,2,2-trifluoroacetate
- Catalogue No.:PA PEP 003641 
- CAS : - 3077786-37-6
- Molecular Formula : C54H74F3N11O13S2 
- Molecular Weight : 1206.37 

 
																				 
																				 
																				 
																				 
																				![[Des-Thr-ol8]-Cys7-amide-Octreotide PA 15 34600](https://www.pharmaffiliates.com/pimages/PA1534600.jpg) 
																				 
																				 
																				 
																				![Des-Thr-ol8]-Cys7-amide-Octreotide ditrifluoroacet PA 15 0341001](https://www.pharmaffiliates.com/pimages/PA150341001.jpg) 
																				 
																				 
																				 
																				 
																				 
																				 
																				 
																				 
																				 
																				 
																				 
																				 
																				 
																				 
																				 
																				 
																				 
																				 
																				 
																				 
																				 
																				 
																				 
																				 
																				 
																				 
																				 
																				 
																				 
																				 
																				![[8-THR-OL-2GA]-Octreotide PA PEP 003401](https://www.pharmaffiliates.com/pimages/PAPEP003401.jpg) 
																				![[1D-Phe-2GA] Octreotide PA PEP 003402](https://www.pharmaffiliates.com/pimages/PAPEP003402.jpg) 
																				 
																				 
 
 
 
