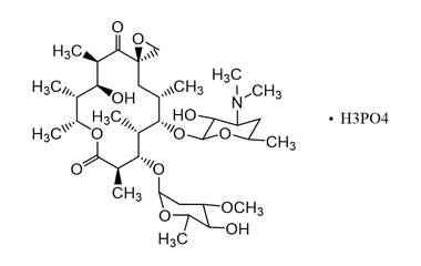
Oleandomycin and its Impurities
Oleandomycin is a macrolide antibiotic. It is synthesized from strains of Streptomyces antibioticus.It used to be sold under the brand name Sigmamycine, combined with tetracycline. Reference standards of Oleandomycin API,and its pharmacopeial, non pharmacopeial impurities, and stable isotopes are listed below.

