Opicapone and its Impurities
Opicapone, sold under the brand name Ongentys. It is a catechol-O-methyltransferase inhibitor used as an adjunct treatment for Parkinson's Disease in adults currently receiving levodopa and a dopa decarboxylase inhibitor. Reference standards of Opicapone API,and its pharmacopeial, non pharmacopeial impurities, and stable isotopes are listed below.
5-(3-(2,5-Dichloro-4,6-dimethylpyridin-3-yl)-1,2,4-oxadiazol-5-yl)-3-nitrobenzene-1,2-diol
5-(3-(2,5-Dichloro-4,6-dimethylpyridin-3-yl)-1,2,4-oxadiazol-5-yl)-3-nitrobenzene-1,2-diol
Catalogue No.:PA 15 1171000
CAS :
952091-17-7
Molecular Formula : C15H10Cl2N4O5
Molecular Weight : 397.17
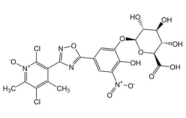
3-Chloro-5-(5-(3,4-dihydroxy-5-nitrophenyl)-1,2,4-oxadiazol-3-yl)-6-hydroxy-2,4-dimethylpyridine 1-oxide
3-Chloro-5-(5-(3,4-dihydroxy-5-nitrophenyl)-1,2,4-oxadiazol-3-yl)-6-hydroxy-2,4-dimethylpyridine 1-oxide
Catalogue No.:PA 15 1171001
CAS :
1402714-31-1
Molecular Formula : C15H11ClN4O7
Molecular Weight : 394.72
2,5-Dichloro-3-(5-(3,4-dimethoxy-5-nitrophenyl)-1,2,4-oxadiazol-3-yl)-4,6-dimethylpyridine 1-oxide
2,5-Dichloro-3-(5-(3,4-dimethoxy-5-nitrophenyl)-1,2,4-oxadiazol-3-yl)-4,6-dimethylpyridine 1-oxide
Catalogue No.:PA 15 1171002
CAS :
2356241-51-3
Molecular Formula : C17H14Cl2N4O6
Molecular Weight : 441.22

