orlistat and its Impurities
Orlistat trade name is Xenical, Orlistat is used for the treatment of obesity. orlistat is available for sale without a prescription.Reference standards of Orlistat API,and its pharmacopeial, non pharmacopeial impurities, and stable isotopes are listed below.
(2S,3S,5S)-5-[(N-Formyl-L-leucyl)oxy]-2-hexyl-3-hydroxyhexadecanoic Acid-d3 (Mixture of Diastereomers)
(2S,3S,5S)-5-[(N-Formyl-L-leucyl)oxy]-2-hexyl-3-hydroxyhexadecanoic Acid-d3 (Mixture of Diastereomers)
Catalogue No.:PA STI 042930
CAS :
1356932-14-3
Molecular Formula : C29H52D3NO6
Molecular Weight : 516.77
N-Formyl-L-leucine(1S)-1-[(2S,3S)-2-hydroxy-3-[(R)-1-phenylethylcarbomoyl)] nonyl]dodecyl-d3 Ester (Orlistat Impurity)
N-Formyl-L-leucine(1S)-1-[(2S,3S)-2-hydroxy-3-[(R)-1-phenylethylcarbomoyl)] nonyl]dodecyl-d3 Ester (Orlistat Impurity)
Catalogue No.:PA STI 042940
CAS :
NA
Molecular Formula : C37H61D3N2O5
Molecular Weight : 619.93
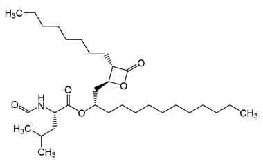
Orlistat Related Compound D (N-formyl-L-leucine (3S,4R,6S)-3-hexyl-2-oxo-6-undecyltetrahydro-2H-pyr (1478844)
Orlistat Related Compound D (N-formyl-L-leucine (3S,4R,6S)-3-hexyl-2-oxo-6-undecyltetrahydro-2H-pyr (1478844)
Catalogue No.:PA USP1478844
CAS :
130793-27-0
Molecular Formula : NA
Molecular Weight : NA
Orlistat Related Compound E (N-Formyl (S)-isoleucine (S)-1-[[2S,3S)-3-hexyl-4-oxo-2-oxetanyl]methyl (1478855)
Orlistat Related Compound E (N-Formyl (S)-isoleucine (S)-1-[[2S,3S)-3-hexyl-4-oxo-2-oxetanyl]methyl (1478855)
Catalogue No.:PA USP1478855
CAS :
NA
Molecular Formula : NA
Molecular Weight : NA

