oxandrolone and its Impurities
Oxandrolone, sold under the brand names Oxandrin and Anavar. Oxandrolone has been researched and prescribed as a treatment for a wide variety of conditions. Reference standards of Oxandrolone API,and its pharmacopeial, non pharmacopeial impurities, and stable isotopes are listed below.
(4aS,4bS,6aS,7S,9aS,9bS,11aS)-7-Hydroxy-4a,6a,7-trimethyltetradecahydroindeno[4,5-h]isochromene-2,4-dione
(4aS,4bS,6aS,7S,9aS,9bS,11aS)-7-Hydroxy-4a,6a,7-trimethyltetradecahydroindeno[4,5-h]isochromene-2,4-dione
Catalogue No.:PA 15 0661000
CAS :
313047-21-1
Molecular Formula : C19H28O4
Molecular Weight : 320.43
Cyclopenta[5,6]naphtho[1,2-c]pyran-2(1H)-one, tetradecahydro-7-hydroxy-4a,6a,7-trimethyl-, (4aS,4bS,6aS,7R,9aS,9bR,11aS)-
Cyclopenta[5,6]naphtho[1,2-c]pyran-2(1H)-one, tetradecahydro-7-hydroxy-4a,6a,7-trimethyl-, (4aS,4bS,6aS,7R,9aS,9bR,11aS)-
Catalogue No.:PA 15 0661001
CAS :
26624-15-7
Molecular Formula : C19H30O3
Molecular Weight : 306.45
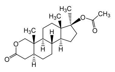
(4aS,4bS,6aS,7S,9aS,9bR,11aS)-4a,6a,7-Trimethyl-2-oxohexadecahydroindeno[4,5-h]isochromen-7-yl acetate
(4aS,4bS,6aS,7S,9aS,9bR,11aS)-4a,6a,7-Trimethyl-2-oxohexadecahydroindeno[4,5-h]isochromen-7-yl acetate
Catalogue No.:PA 15 0661002
CAS :
40013-76-1
Molecular Formula : C21H32O4
Molecular Weight : 348.48
(3S,3aS,5aS,6S,7S,9aS,9bS)-7-(Carboxymethyl)-3-hydroxy-3,3a,6-trimethyldodecahydro-1H-cyclopenta[a]naphthalene-6-carboxylic acid
(3S,3aS,5aS,6S,7S,9aS,9bS)-7-(Carboxymethyl)-3-hydroxy-3,3a,6-trimethyldodecahydro-1H-cyclopenta[a]naphthalene-6-carboxylic acid
Catalogue No.:PA 15 0661003
CAS :
141691-35-2
Molecular Formula : C19H30O5
Molecular Weight : 338.44
(4aR,4bS,6aS,7S,9aS,9bR,11aR)-1,7-Dihydroxy-4a,6a,7-trimethyltetradecahydroindeno[4,5-h]isochromen-2(1H)-one
(4aR,4bS,6aS,7S,9aS,9bR,11aR)-1,7-Dihydroxy-4a,6a,7-trimethyltetradecahydroindeno[4,5-h]isochromen-2(1H)-one
Catalogue No.:PA 15 0661004
CAS :
NA
Molecular Formula : C19H30O4
Molecular Weight : 322.45
(4aR,4bS,6aS,7S,9aS,9bR,11aR)-7-Hydroxy-4a,6a,7-trimethyltetradecahydroindeno[5,4-f]isochromen-3(1H)-one
(4aR,4bS,6aS,7S,9aS,9bR,11aR)-7-Hydroxy-4a,6a,7-trimethyltetradecahydroindeno[5,4-f]isochromen-3(1H)-one
Catalogue No.:PA 15 0661005
CAS :
13409-01-3
Molecular Formula : C19H30O3
Molecular Weight : 306.45

