paclitaxel and its Impurities
Paclitaxel is a chemotherapeutic agent marketed under the brand name Taxol. It is approved in the UK for ovarian, breast, lung, bladder, prostate, melanoma, esophageal, and other types of solid tumor cancers as well as Kaposi's sarcoma.Reference standards of Paclitaxel API,and its pharmacopeial, non pharmacopeial impurities, and stable isotopes are listed below.
	
			                                  
																				3'-p-O-Benzyl-N-desbenzoyl-N-tert-butoxycarbonyl-N,O-isopropylidene-7-{[(2,2,2,-trichloroethyl)oxy]carbonyl} Paclitaxel
3'-p-O-Benzyl-N-desbenzoyl-N-tert-butoxycarbonyl-N,O-isopropylidene-7-{[(2,2,2,-trichloroethyl)oxy]carbonyl} Paclitaxel
Catalogue No.:PA 16 01560
CAS :
NA
Molecular Formula : C58H66Cl3NO18
Molecular Weight : 1171.5
	
			                                  
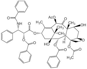
																				Paclitaxel - Impurity M
(1R,3R,4R,4aS,5R,6R,8R,11S,12aR)-3,11-Bis(acetyloxy)-8-[[(2S,3R)-3-(benzoylamino)-2-hydroxy-3-phenylpropanoyl]oxy]-1,4,5,6-tetrahydroxy-9,12a,13,13-tetramethyl-12-oxo-1,2,3,4,4a,5,6,7,8,11,12,12adodecahydro-6,10-methanobenzo[10]annulen-4-ylrac-benzoate
Catalogue No.:PA 16 01720
CAS :
932042-85-8
Molecular Formula : C47H53NO15
Molecular Weight : 871.92
	
			                                  
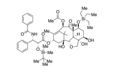
																				7-O-(Triethylsilyl)-2'-O-tert-butyl(dimethyl)silyl-4-desacetyl-2-debenzoyl-[2,4]oxol Paclitaxel
7-O-(Triethylsilyl)-2'-O-tert-butyl(dimethyl)silyl-4-desacetyl-2-debenzoyl-[2,4]oxol Paclitaxel
Catalogue No.:PA 16 01740
CAS :
160768-75-2
Molecular Formula : C50H73NO12Si2
Molecular Weight : 936.29
	
			                                  
																				(1S,2S,4S,6R,7aS,8S,9aR,11aS)-4-(((2R,3S)-3-Benzamido-2-hydroxy-3-phenylpropanoyl)oxy)-1-(benzoyloxy)-2,8-dihydroxy-5,7a,12,12-tetramethyl-7-oxododecahydro-1H-2,5a-methanocyclohepta[3,3a]indeno[5,4-b]oxete-6,11a-diyl Diacetate
(1S,2S,4S,6R,7aS,8S,9aR,11aS)-4-(((2R,3S)-3-Benzamido-2-hydroxy-3-phenylpropanoyl)oxy)-1-(benzoyloxy)-2,8-dihydroxy-5,7a,12,12-tetramethyl-7-oxododecahydro-1H-2,5a-methanocyclohepta[3,3a]indeno[5,4-b]oxete-6,11a-diyl Diacetate
Catalogue No.:PA 16 01840
CAS :
NA
Molecular Formula : C47H51NO14
Molecular Weight : 853.91
	
			                                  
																				(1S,2S,4S,5S,6R,7aS,8S,9aR,11aS)-4-(((2R,3S)-3-Benzamido-2-hydroxy-3-phenylpropanoyl)oxy)-1-(benzoyloxy)-2,8-dihydroxy-5,7a,12,12-tetramethyl-7-oxododecahydro-1H-2,5a-methanocyclohepta[3,3a]indeno[5,4-b]oxete-6,11a-diyl Diacetate
(1S,2S,4S,5S,6R,7aS,8S,9aR,11aS)-4-(((2R,3S)-3-Benzamido-2-hydroxy-3-phenylpropanoyl)oxy)-1-(benzoyloxy)-2,8-dihydroxy-5,7a,12,12-tetramethyl-7-oxododecahydro-1H-2,5a-methanocyclohepta[3,3a]indeno[5,4-b]oxete-6,11a-diyl Diacetate
Catalogue No.:PA 16 01850
CAS :
NA
Molecular Formula : C47H51NO14
Molecular Weight : 853.91
	
			                                  
																				(2aR,4S,4aS,6R,9S,11S,12S,12aR,12bS)-9-(((2R,3S)-3-Benzamido-2-hydroxy-3-phenylpropanoyl)oxy)-4-(((2S,3R)-3-benzamido-2-hydroxy-3-phenylpropanoyl)oxy)-12-(benzoyloxy)-11-hydroxy-4a,8,13,13-tetramethyl-5-oxo-2a,3,4,4a,5,6,9,10,11,12,12a,12b-dodecahydro-1H-7,11-methanocyclodeca[3,4]benzo[1,2-b]oxete-6,12b-diyl Diacetate
(2aR,4S,4aS,6R,9S,11S,12S,12aR,12bS)-9-(((2R,3S)-3-Benzamido-2-hydroxy-3-phenylpropanoyl)oxy)-4-(((2S,3R)-3-benzamido-2-hydroxy-3-phenylpropanoyl)oxy)-12-(benzoyloxy)-11-hydroxy-4a,8,13,13-tetramethyl-5-oxo-2a,3,4,4a,5,6,9,10,11,12,12a,12b-dodecahydro-1H-7,11-methanocyclodeca[3,4]benzo[1,2-b]oxete-6,12b-diyl Diacetate
Catalogue No.:PA 16 01880
CAS :
NA
Molecular Formula : C63H64N2O17
Molecular Weight : 1121.19
	
			                                  
																				(2aR,4S,4aS,6R,9S,11S,12S,12aR,12bS)-9-(((2R,3S)-3-Benzamido-2-(benzoyloxy)-3-phenylpropanoyl)oxy)-12-(benzoyloxy)-4,11-dihydroxy-4a,8,13,13-tetramethyl-5-oxo-3,4,4a,5,6,9,10,11,12,12a-decahydro-1H-7,11-methanocyclodeca[3,4]benzo[1,2-b]oxete-6,12b(2aH)-diyl Diacetate
(2aR,4S,4aS,6R,9S,11S,12S,12aR,12bS)-9-(((2R,3S)-3-Benzamido-2-(benzoyloxy)-3-phenylpropanoyl)oxy)-12-(benzoyloxy)-4,11-dihydroxy-4a,8,13,13-tetramethyl-5-oxo-3,4,4a,5,6,9,10,11,12,12a-decahydro-1H-7,11-methanocyclodeca[3,4]benzo[1,2-b]oxete-6,12b(2aH)-diyl Diacetate
Catalogue No.:PA 16 01890
CAS :
158948-97-1
Molecular Formula : C54H55NO15
Molecular Weight : 958.03
	
			                                  
																				(2aR,4S,4aS,6R,9S,11S,12S,12aR,12bS)-6,12b-Diacetoxy-12-(benzoyloxy)-11-hydroxy-4a,8,13,13-tetramethyl-5-oxo-2a,3,4,4a,5,6,9,10,11,12,12a,12b-dodecahydro-1H-7,11-methanocyclodeca[3,4]benzo[1,2-b]oxete-4,9-diyl (2R,2'R,3S,3'S)-bis(3-benzamido-2-hydroxy-3-phenylpropanoate)
(2aR,4S,4aS,6R,9S,11S,12S,12aR,12bS)-6,12b-Diacetoxy-12-(benzoyloxy)-11-hydroxy-4a,8,13,13-tetramethyl-5-oxo-2a,3,4,4a,5,6,9,10,11,12,12a,12b-dodecahydro-1H-7,11-methanocyclodeca[3,4]benzo[1,2-b]oxete-4,9-diyl (2R,2'R,3S,3'S)-bis(3-benzamido-2-hydroxy-3-phenylpropanoate)
Catalogue No.:PA 16 01900
CAS :
376629-82-2
Molecular Formula : C63H64N2O17
Molecular Weight : 1121.2
	
			                                  
																				(2aS,3S,4S,6S,8R,9aS,10S,11aR)-6-(((2R,3S)-3-Benzamido-2-hydroxy-3-phenylpropanoyl)oxy)-3-(benzoyloxy)-4,10-dihydroxy-6a,9a,12,12-tetramethyl-9-oxododecahydro-4,7-methanobenzo[8,8a]naphtho[2,1-b]oxete-2a,8(2H)-diyl Diacetate
(2aS,3S,4S,6S,8R,9aS,10S,11aR)-6-(((2R,3S)-3-Benzamido-2-hydroxy-3-phenylpropanoyl)oxy)-3-(benzoyloxy)-4,10-dihydroxy-6a,9a,12,12-tetramethyl-9-oxododecahydro-4,7-methanobenzo[8,8a]naphtho[2,1-b]oxete-2a,8(2H)-diyl Diacetate
Catalogue No.:PA 16 01970
CAS :
NA
Molecular Formula : C47H51NO14
Molecular Weight : 853.92
	
			                                  
																				7-{[(2,2,2,-Trichloroethyl)oxy]carbonyl} Baccatin III (4S, 5S)-3-Benzoyl-2-(4-methoxyphenyl)-4-phenyl-5-oxazolidinecarboxylate
7-{[(2,2,2,-Trichloroethyl)oxy]carbonyl} Baccatin III (4S, 5S)-3-Benzoyl-2-(4-methoxyphenyl)-4-phenyl-5-oxazolidinecarboxylate
Catalogue No.:PA 16 01940
CAS :
1033574-06-9
Molecular Formula : C58H58Cl3NO17
Molecular Weight : 1147.44
	
			                                  
																				(2aR,4S,4aS,6R,9S,11S,12S,12aR,12bS)-9-(((2R,3S)-3-Benzamido-3-phenyl-2-((triethylsilyl)oxy)propanoyl)oxy)-12-(benzoyloxy)-11-hydroxy-4a,8,13,13-tetramethyl-5-oxo-4-((triethylsilyl)oxy)-3,4,4a,5,6,9,10,11,12,12a-decahydro-1H-7,11-methanocyclodeca[3,4]benzo[1,2-b]oxete-6,12b(2aH)-diyl diacetate
(2aR,4S,4aS,6R,9S,11S,12S,12aR,12bS)-9-(((2R,3S)-3-Benzamido-3-phenyl-2-((triethylsilyl)oxy)propanoyl)oxy)-12-(benzoyloxy)-11-hydroxy-4a,8,13,13-tetramethyl-5-oxo-4-((triethylsilyl)oxy)-3,4,4a,5,6,9,10,11,12,12a-decahydro-1H-7,11-methanocyclodeca[3,4]benzo[1,2-b]oxete-6,12b(2aH)-diyl diacetate
Catalogue No.:PA 16 0011007
CAS :
135365-62-7
Molecular Formula : C59H79NO14Si2
Molecular Weight : 1082.44
	
			                                  
																				(2aR,4S,4aS,6R,9S,11S,12S,12aR,12bS)-12-(benzoyloxy)-9-(((2R,3S)-3-butyramido-2-hydroxy-3-phenylpropanoyl)oxy)-4,11-dihydroxy-4a,8,13,13-tetramethyl-5-oxo-3,4,4a,5,6,9,10,11,12,12a-decahydro-1H-7,11-methanocyclodeca[3,4]benzo[1,2-b]oxete-6,12b(2aH)-diyl diacetate
(2aR,4S,4aS,6R,9S,11S,12S,12aR,12bS)-12-(Benzoyloxy)-9-(((2R,3S)-3-butyramido-2-hydroxy-3-phenylpropanoyl)oxy)-4,11-dihydroxy-4a,8,13,13-tetramethyl-5-oxo-3,4,4a,5,6,9,10,11,12,12a-decahydro-1H-7,11-methanocyclodeca[3,4]benzo[1,2-b]oxete-6,12b(2aH)-diyl diacetate
Catalogue No.:PA 16 0011008
CAS :
153415-46-4
Molecular Formula : C44H53NO14
Molecular Weight : 819.9
	
			                                  
																				(2aR,4S,4aS,6R,9S,11S,12S,12aR,12bS)-12-(benzoyloxy)-4,11-dihydroxy-9-(((2R,3S)-2-hydroxy-3-isobutyramido-3-phenylpropanoyl)oxy)-4a,8,13,13-tetramethyl-5-oxo-3,4,4a,5,6,9,10,11,12,12a-decahydro-1H-7,11-methanocyclodeca[3,4]benzo[1,2-b]oxete-6,12b(2aH)-diyl diacetate
(2aR,4S,4aS,6R,9S,11S,12S,12aR,12bS)-12-(Benzoyloxy)-4,11-dihydroxy-9-(((2R,3S)-2-hydroxy-3-isobutyramido-3-phenylpropanoyl)oxy)-4a,8,13,13-tetramethyl-5-oxo-3,4,4a,5,6,9,10,11,12,12a-decahydro-1H-7,11-methanocyclodeca[3,4]benzo[1,2-b]oxete-6,12b(2aH)-diyl diacetate
Catalogue No.:PA 16 0011009
CAS :
206866-02-6
Molecular Formula : C44H53NO14
Molecular Weight : 819.9
	
			                                  
																				(1S,3S,4S,4aR,5S,6S,8S,11R,12aS)-8-(((2R,3S)-3-Benzamido-2-hydroxy-3-phenylpropanoyl)oxy)-5-(benzoyloxy)-1,4,6-trihydroxy-4-(hydroxymethyl)-9,12a,13,13-tetramethyl-12-oxo-1,2,3,4,4a,5,6,7,8,11,12,12a-dodecahydro-6,10-methanobenzo[10]annulene-3,11-diyl diacetate
(1S,3S,4S,4aR,5S,6S,8S,11R,12aS)-8-(((2R,3S)-3-Benzamido-2-hydroxy-3-phenylpropanoyl)oxy)-5-(benzoyloxy)-1,4,6-trihydroxy-4-(hydroxymethyl)-9,12a,13,13-tetramethyl-12-oxo-1,2,3,4,4a,5,6,7,8,11,12,12a-dodecahydro-6,10-methanobenzo[10]annulene-3,11-diyl diacetate
Catalogue No.:PA 16 0011010
CAS :
489459-83-8
Molecular Formula : C47H53NO15
Molecular Weight : 871.93
	
			                                  
																				(2aR,4S,4aS,6R,9S,11S,12S,12aR,12bS)-12b-acetoxy-9-(((2R,3R)-3-benzamido-2-hydroxy-3-phenylpropanoyl)oxy)-4,6,11-trihydroxy-4a,8,13,13-tetramethyl-5-oxo-2a,3,4,4a,5,6,9,10,11,12,12a,12b-dodecahydro-1H-7,11-methanocyclodeca[3,4]benzo[1,2-b]oxet-12-yl benzoate
(2aR,4S,4aS,6R,9S,11S,12S,12aR,12bS)-12b-acetoxy-9-(((2R,3R)-3-benzamido-2-hydroxy-3-phenylpropanoyl)oxy)-4,6,11-trihydroxy-4a,8,13,13-tetramethyl-5-oxo-2a,3,4,4a,5,6,9,10,11,12,12a,12b-dodecahydro-1H-7,11-methanocyclodeca[3,4]benzo[1,2-b]oxet-12-yl benzoate
Catalogue No.:PA 16 0011013
CAS :
133577-34-1
Molecular Formula : C45H49NO13
Molecular Weight : 811.88

																				
																				
																				
																				
																				
																				
																				
																				
																				
																				
																				
																				
																				
																				
																				
																				
																				
																				
																				
																				
																				
																				
																				
																				
																				
																				
																				
																				
																				
																				
																				
																				
																				
																				
																				
																				
																				
																				
																				
																				
																				
																				
																				
																				
																				
																				
																				
																				
																				
																				
																				
																				
																				
																				
																				
																				
																				
																				
																				
																				
																				
																				
																				
																				
																				
																				
																				
																				
																				
																				
																				
																				
																				
																				
																				
																				
																				
																				
																				
																				
																				
																				
																				
