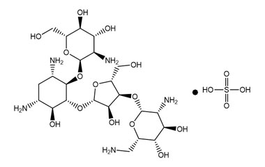
paromomycin sulfate and its Impurities
Paromomycin Sulfate is used for the treatment of acute and chronic intestinal protozoal infections, but is not effective for extraintestinal protozoal infections. It is available as a generic medication. Reference standards of Paromomycin Sulfate API,and its pharmacopeial, non pharmacopeial impurities, and stable isotopes are listed below.

