perindopril and its Impurities
An ACE-inhibiting drug, Perindopril is used to treat high blood pressure, coronary artery disease and other heart diseases.Reference standards of Perindopril API,and its pharmacopeial, non pharmacopeial impurities, and stable isotopes are listed below.
(2S,3aS,7aS)-1-[(2S)-2-[[(1R)-1-(Ethoxycarbonyl)butyl]amino]propanoyl]octahydro-1H-indole-2-carboxylic Acid
(2S,3aS,7aS)-1-[(2S)-2-[[(1R)-1-(Ethoxycarbonyl)butyl]amino]propanoyl]octahydro-1H-indole-2-carboxylic Acid
Catalogue No.:PA 16 14090
CAS :
145513-33-3
Molecular Formula : C19H32N2O5
Molecular Weight : 368.48
(2S,3aS,7aS)-1-((S)-2-(((S)-1-Ethoxy-1-oxopentan-2-yl)amino)propanoyl)octahydro-1H-indole-2-carboxylic Acid
(2S,3aS,7aS)-1-((S)-2-(((S)-1-Ethoxy-1-oxopentan-2-yl)amino)propanoyl)octahydro-1H-indole-2-carboxylic Acid
Catalogue No.:PAI 16 004010
CAS :
NA
Molecular Formula : C19H32N2O5
Molecular Weight : 368.50
(2S,3aS,7aS)-Benzyl 1-((R)-2-(((R)-1-isopropoxy-1-oxopentan-2-yl)amino)propanoyl)octahydro-1H-indole-2-carboxylate
(2S,3aS,7aS)-Benzyl 1-((R)-2-(((R)-1-isopropoxy-1-oxopentan-2-yl)amino)propanoyl)octahydro-1H-indole-2-carboxylate
Catalogue No.:PAI 16 004050
CAS :
NA
Molecular Formula : C27H40N2O5
Molecular Weight : 472.62
Perindopril Related Compound B ((2S,3aS,7aS)-1-{(S)-2-[(S)-1-carboxybutylamino]propanoyl}octahydro- (1510903)
Perindopril Related Compound B ((2S,3aS,7aS)-1-{(S)-2-[(S)-1-carboxybutylamino]propanoyl}octahydro- (1510903)
Catalogue No.:PA USP1510903
CAS :
95153-31-4
Molecular Formula : NA
Molecular Weight : NA
Perindopril Related Compound C ((S)-2-[(3S,5aS,9aS,10aS)-3-methyl-1,4-dioxodecahydropyrazino[1,2-a] (1510914)
Perindopril Related Compound C ((S)-2-[(3S,5aS,9aS,10aS)-3-methyl-1,4-dioxodecahydropyrazino[1,2-a] (1510914)
Catalogue No.:PA USP1510914
CAS :
129970-99-6
Molecular Formula : NA
Molecular Weight : NA
Perindopril Related Compound D ((S)-2-{(3S,5aS,9aS,10aR)-3-methyl-1,4-dioxodecahydropyrazino[1,2-a] (1510925)
Perindopril Related Compound D ((S)-2-{(3S,5aS,9aS,10aR)-3-methyl-1,4-dioxodecahydropyrazino[1,2-a] (1510925)
Catalogue No.:PA USP1510925
CAS :
130061-28-8
Molecular Formula : NA
Molecular Weight : NA
Perindopril Related Compound E ((2S,3aS,7aS)-1-{(S)-2-[(S)-1-isopropoxy-1-oxopentan-2-ylamino]propa (1510936)
Perindopril Related Compound E ((2S,3aS,7aS)-1-{(S)-2-[(S)-1-isopropoxy-1-oxopentan-2-ylamino]propa (1510936)
Catalogue No.:PA USP1510936
CAS :
NA
Molecular Formula : NA
Molecular Weight : NA
Perindopril Related Compound F ((S)-ethyl 2-{(3S,5aS,9aS,10aS)-3-methyl-1,4-dioxodecahydropyrazino[ (1510947)
Perindopril Related Compound F ((S)-ethyl 2-{(3S,5aS,9aS,10aS)-3-methyl-1,4-dioxodecahydropyrazino[ (1510947)
Catalogue No.:PA USP1510947
CAS :
129970-98-5
Molecular Formula : NA
Molecular Weight : NA
Perindopril Related Compound K ((3S,5aS,9aS,10aS)-3-methyldecahydropyrazino[1,2-a]indole-1,4-dione) (1510999)
Perindopril Related Compound K ((3S,5aS,9aS,10aS)-3-methyldecahydropyrazino[1,2-a]indole-1,4-dione) (1510999)
Catalogue No.:PA USP1510999
CAS :
2012-01-7
Molecular Formula : NA
Molecular Weight : NA
(2S,3aS,7aS)-1-((R)-2-(((R)-1-Ethoxy-1-oxopentan-2-yl)amino)propanoyl)octahydro-1H-indole-2-carboxylic Acid
(2S,3aS,7aS)-1-((R)-2-(((R)-1-Ethoxy-1-oxopentan-2-yl)amino)propanoyl)octahydro-1H-indole-2-carboxylic Acid
Catalogue No.:PAI 16 004060
CAS :
145513-54-8
Molecular Formula : C19H32N2O5
Molecular Weight : 368.47
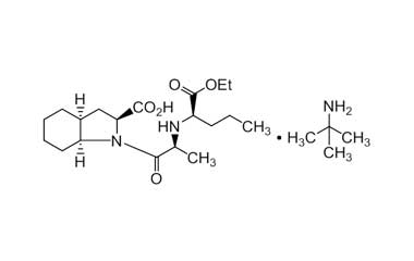
2-methylpropan-2-amine (2S,3aS,7aS)-1-(((R)-1-ethoxy-1-oxopentan-2-yl)-L-alanyl)octahydro-1H-indole-2-carboxylate
2-methylpropan-2-amine (2S,3aS,7aS)-1-(((R)-1-ethoxy-1-oxopentan-2-yl)-L-alanyl)octahydro-1H-indole-2-carboxylate
Catalogue No.:PA 16 14580
CAS :
NA
Molecular Formula : C23H43N3O5
Molecular Weight : 441.61
Benzyl (2S,3aS,7aS)-1-((2S)-2-((Z)-3-cyclohexyl-2-(cyclohexylmethylene)-4-oxo-5-propylimidazolidin-1-yl)propanoyl)octahydro-1H-indole-2-carboxylate
Benzyl (2S,3aS,7aS)-1-((2S)-2-((Z)-3-cyclohexyl-2-(cyclohexylmethylene)-4-oxo-5-propylimidazolidin-1-yl)propanoyl)octahydro-1H-indole-2-carboxylate
Catalogue No.:PAI 16 004070
CAS :
NA
Molecular Formula : C38H55N3O4
Molecular Weight : 617.88
Benzyl (2S,3aS,7aS)-1-((2S)-2-((Z)-3-cyclohexyl-2-(cyclohexylimino)-4-oxo-5-propylimidazolidin-1-yl)propanoyl)octahydro-1H-indole-2-carboxylate
Benzyl (2S,3aS,7aS)-1-((2S)-2-((Z)-3-cyclohexyl-2-(cyclohexylimino)-4-oxo-5-propylimidazolidin-1-yl)propanoyl)octahydro-1H-indole-2-carboxylate
Catalogue No.:PAI 16 004080
CAS :
NA
Molecular Formula : C37H54N4O4
Molecular Weight : 618.86
Perindopril - Impurity O (Sodium Salt)
(2S,3aS,7aS)-1-[[(2S,3aS,7aS)-1-[(2S)-2-[[(1S)-1-(Ethoxycarbonyl)butyl]amino]propanoyl]octahydro-1H-indol-2-yl]carbonyl]octahydro-1H-indole-2-carboxylic Acid Sodium Salt
Catalogue No.:PA 16 0140151
CAS :
NA
Molecular Formula : C28H44N3NaO6
Molecular Weight : 541.66
(2S,3aS,7aS)-1-(((S)-1-Ethoxy-1-oxopentan-2-yl)-D-alanyl)octahydro-1H-indole-2-carboxylic acid
(2S,3aS,7aS)-1-(((S)-1-Ethoxy-1-oxopentan-2-yl)-D-alanyl)octahydro-1H-indole-2-carboxylic acid
Catalogue No.:PA 16 0141010
CAS :
145513-37-7
Molecular Formula : C19H32N2O5
Molecular Weight : 368.47
(2R,3aR,7aS)-1-(((R)-1-ethoxy-1-oxopentan-2-yl)-L-alanyl)octahydro-1H-indole-2-carboxylic acid
(2R,3aR,7aS)-1-(((R)-1-ethoxy-1-oxopentan-2-yl)-L-alanyl)octahydro-1H-indole-2-carboxylic acid
Catalogue No.:PA 16 0141011
CAS :
145513-40-2
Molecular Formula : C19H32N2O5
Molecular Weight : 368.47
(2S,3aR,7aR)-1-(((R)-1-ethoxy-1-oxopentan-2-yl)-L-alanyl)octahydro-1H-indole-2-carboxylic acid
(2S,3aR,7aR)-1-(((R)-1-ethoxy-1-oxopentan-2-yl)-L-alanyl)octahydro-1H-indole-2-carboxylic acid
Catalogue No.:PA 16 0141012
CAS :
145513-35-5
Molecular Formula : C19H32N2O5
Molecular Weight : 368.47
(2S,3aS,7aS)-1-(N-((S)-1-Ethoxy-1-oxopentan-2-yl)-N-nitroso-L-alanyl)octahydro-1H-indole-2-carboxylic Acid
(2S,3aS,7aS)-1-(N-((S)-1-Ethoxy-1-oxopentan-2-yl)-N-nitroso-L-alanyl)octahydro-1H-indole-2-carboxylic Acid
Catalogue No.:PA 16 0141017
CAS :
3036581-82-2
Molecular Formula : C19H31N3O6
Molecular Weight : 397.47
1-(((S)-1-Ethoxy-1-oxopentan-2-yl)-L-alanyl)-3a,4,5,6,7,7a-hexahydro-1H-indole-2-carboxylic Acid
1-(((S)-1-Ethoxy-1-oxopentan-2-yl)-L-alanyl)-3a,4,5,6,7,7a-hexahydro-1H-indole-2-carboxylic Acid
Catalogue No.:PA 16 0141019
CAS :
NA
Molecular Formula : C19H30N2O5
Molecular Weight : 366.46
(S)-1-(((S)-1-Ethoxy-1-oxopentan-2-yl)-L-alanyl)-2,3,4,5,6,7-hexahydro-1H-indole-2-carboxylic Acid
(S)-1-(((S)-1-Ethoxy-1-oxopentan-2-yl)-L-alanyl)-2,3,4,5,6,7-hexahydro-1H-indole-2-carboxylic Acid
Catalogue No.:PA 16 0141020
CAS :
625095-50-3
Molecular Formula : C19H30N2O5
Molecular Weight : 366.46
Benzyl (2S,3aS,7aS)-1-(N-(cyclohexylcarbamoyl)-N-((S)-1-ethoxy-1-oxopentan-2-yl)-L-alanyl)octahydro-1H-indole-2-carboxylate
Benzyl (2S,3aS,7aS)-1-(N-(cyclohexylcarbamoyl)-N-((S)-1-ethoxy-1-oxopentan-2-yl)-L-alanyl)octahydro-1H-indole-2-carboxylate
Catalogue No.:PAI 16 004083
CAS :
NA
Molecular Formula : C33H49N3O6
Molecular Weight : 583.77
Benzyl (2S,3aS,7aS)-1-((S)-2-((S)-3-cyclohexyl-2,4-dioxo-5-propylimidazolidin-1-yl)propanoyl)octahydro-1H-indole-2-carboxylate
Benzyl (2S,3aS,7aS)-1-((S)-2-((S)-3-cyclohexyl-2,4-dioxo-5-propylimidazolidin-1-yl)propanoyl)octahydro-1H-indole-2-carboxylate
Catalogue No.:PAI 16 004084
CAS :
NA
Molecular Formula : C31H43N3O5
Molecular Weight : 537.7
(2S,3aS,7aS)-1-((S)-2-((S)-3-Cyclohexyl-2,4-dioxo-5-propylimidazolidin-1-yl)propanoyl)octahydro-1H-indole-2-carboxylic Acid
(2S,3aS,7aS)-1-((S)-2-((S)-3-Cyclohexyl-2,4-dioxo-5-propylimidazolidin-1-yl)propanoyl)octahydro-1H-indole-2-carboxylic Acid
Catalogue No.:PAI 16 004085
CAS :
NA
Molecular Formula : C24H37N3O5
Molecular Weight : 447.58

