phenoxymethylpenicillin and its Impurities
Also known as penicillin V, which is an antibacterial drug. It works by inhibiting the biosynthesis of cell-wall peptidoglycan. It is used in the treatment of throat infection and rheumatic fever. Reference standards of Phenoxymethylpenicillin API,and its pharmacopeial, non pharmacopeial impurities, and stable isotopes are listed below.
 
	
			                                  ![(4S)-2-[2-[Benzyl[2-(benzylamino)ethyl]amino]-2-ox PA 16 20070](https://www.pharmaffiliates.com/pimages/PA1620070.jpg) 
																				(4S)-2-[2-[Benzyl[2-(benzylamino)ethyl]amino]-2-oxo-1-[(phenoxyacetyl)amino]ethyl]-5,5- dimethyl-1,3-thiazolidine-4-carboxylic Acid
(4S)-2-[2-[Benzyl[2-(benzylamino)ethyl]amino]-2-oxo-1-[(phenoxyacetyl)amino]ethyl]-5,5- dimethyl-1,3-thiazolidine-4-carboxylic Acid
- Catalogue No.:PA 16 20070 
- CAS : - NA
- Molecular Formula : C32H38N4O5S 
- Molecular Weight : 590.73 
 
	
			                                   
																				(2R)-2-((R)-Carboxy(2-phenoxyacetamido)methyl)-5,5-dimethyl-3-propionylthiazolidine-4-carboxylic Acid
(2R)-2-((R)-Carboxy(2-phenoxyacetamido)methyl)-5,5-dimethyl-3-propionylthiazolidine-4-carboxylic Acid
- Catalogue No.:PA 69 0321002 
- CAS : - NA
- Molecular Formula : C19H24N2O7S 
- Molecular Weight : 424.47 
 
	
			                                   
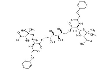
																				(R)-2-((2R,4S)-5,5-Dimethyl-4-((((2S,3R,4R,5R)-2,3,4,5,6-pentahydroxyhexyl)oxy)carbonyl)thiazolidin-2-yl)-2-(2-phenoxyacetamido)acetic acid
(R)-2-((2R,4S)-5,5-Dimethyl-4-((((2S,3R,4R,5R)-2,3,4,5,6-pentahydroxyhexyl)oxy)carbonyl)thiazolidin-2-yl)-2-(2-phenoxyacetamido)acetic acid
- Catalogue No.:PA 69 0321004 
- CAS : - NA
- Molecular Formula : C22H32N2O11S 
- Molecular Weight : 532.56 
 
	
			                                   
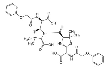
																				(2S,4R)-2-((S)-Carboxy(2-phenoxyacetamido)methyl)-3-((2R,4S)-2-((R)-carboxy(2-phenoxyacetamido)methyl)-5,5-dimethylthiazolidine-4-carbonyl)-5,5-dimethylthiazolidine-4-carboxylic Acid
(2S,4R)-2-((S)-Carboxy(2-phenoxyacetamido)methyl)-3-((2R,4S)-2-((R)-carboxy(2-phenoxyacetamido)methyl)-5,5-dimethylthiazolidine-4-carbonyl)-5,5-dimethylthiazolidine-4-carboxylic Acid
- Catalogue No.:PA 69 0321005 
- CAS : - NA
- Molecular Formula : C32H38N4O11S2 
- Molecular Weight : 718.79 
 
	
			                                   
																				(2R,4S)-3-((S)-2-((2S,4R)-4-Carboxy-5,5-dimethylthiazolidin-2-yl)-2-(2-phenoxyacetamido)acetyl)-5,5-dimethyl-2-((2-phenoxyacetamido)methyl)thiazolidine-4-carboxylic Acid
(2R,4S)-3-((S)-2-((2S,4R)-4-Carboxy-5,5-dimethylthiazolidin-2-yl)-2-(2-phenoxyacetamido)acetyl)-5,5-dimethyl-2-((2-phenoxyacetamido)methyl)thiazolidine-4-carboxylic Acid
- Catalogue No.:PA 69 0321007 
- CAS : - 125614-06-4
- Molecular Formula : C31H38N4O9S2 
- Molecular Weight : 674.78 
 
	
			                                   
																				(2S,4R)-2-((S)-Carboxy(2-phenoxyacetamido)methyl)-3-((2S,5R,6R)-3,3-dimethyl-7-oxo-6-(2-phenoxyacetamido)-4-thia-1-azabicyclo[3.2.0]heptane-2-carbonyl)-5,5-dimethylthiazolidine-4-carboxylic Acid
(2S,4R)-2-((S)-Carboxy(2-phenoxyacetamido)methyl)-3-((2S,5R,6R)-3,3-dimethyl-7-oxo-6-(2-phenoxyacetamido)-4-thia-1-azabicyclo[3.2.0]heptane-2-carbonyl)-5,5-dimethylthiazolidine-4-carboxylic Acid
- Catalogue No.:PA 69 0321008 
- CAS : - NA
- Molecular Formula : C32H36N4O10S2 
- Molecular Weight : 700.78 
 
	
			                                   
																				(S,E)-3-Mercapto-3-methyl-2-(((5-oxo-2-(phenoxymethyl)oxazol-4(5H)-ylidene)methyl)amino)butanoic Acid
(S,E)-3-Mercapto-3-methyl-2-(((5-oxo-2-(phenoxymethyl)oxazol-4(5H)-ylidene)methyl)amino)butanoic Acid
- Catalogue No.:PA 69 0321009 
- CAS : - NA
- Molecular Formula : C16H18N2O5S 
- Molecular Weight : 350.39 
 
	
			                                   
																				(2R,4S)-5,5-Dimethyl-2-((R)-2-oxo-2-(((2S,3R,4R,5R)-2,3,4,5,6-pentahydroxyhexyl)oxy)-1-(2-phenoxyacetamido)ethyl)thiazolidine-4-carboxylic Acid
(2R,4S)-5,5-Dimethyl-2-((R)-2-oxo-2-(((2S,3R,4R,5R)-2,3,4,5,6-pentahydroxyhexyl)oxy)-1-(2-phenoxyacetamido)ethyl)thiazolidine-4-carboxylic Acid
- Catalogue No.:PA 69 0321010 
- CAS : - NA
- Molecular Formula : C22H32N2O11S 
- Molecular Weight : 532.56 
 
	
			                                   
																				(2R,4S)-3-((S)-2-((2S,4R)-4-Carboxy-5,5-dimethylthiazolidin-2-yl)-2-(2-phenoxyacetamido)acetyl)-5,5-dimethyl-2-((R)-2-oxo-1-(2-phenoxyacetamido)-2-((2-phenoxyacetoxy)methoxy)ethyl)thiazolidine-4-carboxylic Acid
(2R,4S)-3-((S)-2-((2S,4R)-4-Carboxy-5,5-dimethylthiazolidin-2-yl)-2-(2-phenoxyacetamido)acetyl)-5,5-dimethyl-2-((R)-2-oxo-1-(2-phenoxyacetamido)-2-((2-phenoxyacetoxy)methoxy)ethyl)thiazolidine-4-carboxylic Acid
- Catalogue No.:PA 69 0321011 
- CAS : - NA
- Molecular Formula : C41H46N4O14S2 
- Molecular Weight : 882.95 

 
																				 
																				 
																				 
																				 
																				 
																				 
																				 
																				 
																				 
																				 
																				 
																				 
																				 
																				 
 
 
 
