phytonadione and its Impurities
A polycyclic aromatic ketone which Is found naturally in the leaves of green plants. Phytonadione is a type of vitamin often known as Vitamin K. It plays an important role in photosynthesis. Used as a dietery supplement in humans.Reference standards of Phytonadione API,and its pharmacopeial, non pharmacopeial impurities, and stable isotopes are listed below.
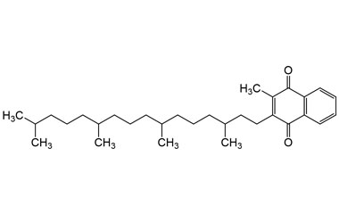
2-Methyl-3-((3-methyl-3-((4R,8R)-4,8,12-trimethyltridecyl)oxiran-2-yl)methyl)naphthalene-1,4-dione
2-Methyl-3-((3-methyl-3-((4R,8R)-4,8,12-trimethyltridecyl)oxiran-2-yl)methyl)naphthalene-1,4-dione
Catalogue No.:PA 16 67530
CAS :
41018-27-3
Molecular Formula : C31H46O3
Molecular Weight : 466.7
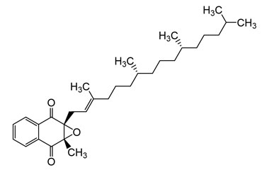
2,3-Epoxy-2-methyl-3-[(2E,7R,11R)]-3,7,11,15-tetramethylhexadec-2-enyl]-2,3-dihydronaphthalene-1,4-dione
2,3-Epoxy-2-methyl-3-[(2E,7R,11R)]-3,7,11,15-tetramethylhexadec-2-enyl]-2,3-dihydronaphthalene-1,4-dione
Catalogue No.:PA 16 67560
CAS :
1588773-08-3
Molecular Formula : C31H46O3
Molecular Weight : 466.7
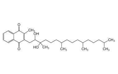
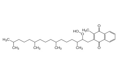
1a-(2,3-Dihydroxy-3,7,11,15-tetramethylhexadecyl)-7a-methyl-1a,7a-dihydronaphtho[2,3-b]oxirene-2,7-dione
1a-(2,3-Dihydroxy-3,7,11,15-tetramethylhexadecyl)-7a-methyl-1a,7a-dihydronaphtho[2,3-b]oxirene-2,7-dione
Catalogue No.:PA 16 0671003
CAS :
NA
Molecular Formula : C31H48O5
Molecular Weight : 500.72
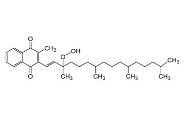
4-Hydroxy-3-methyl-2-((7R,11R,E)-3,7,11,15-tetramethylhexadec-2-en-1-ylidene)naphthalen-1(2H)-one
4-Hydroxy-3-methyl-2-((7R,11R,E)-3,7,11,15-tetramethylhexadec-2-en-1-ylidene)naphthalen-1(2H)-one
Catalogue No.:PA 16 0671026
CAS :
693781-58-7
Molecular Formula : C31H46O2
Molecular Weight : 450.71

