pregabalin and its Impurities
Pregabalin is used to treat epilepsy, neuropathic pain, fibromyalgia, restless leg syndrome, and generalized anxiety disorder. Pregabalin, marketed under the brand name Lyrica. It is available as a generic medication.Reference standards of Pregabalin API,and its pharmacopeial, non pharmacopeial impurities, and stable isotopes are listed below.
 
	
			                                   
																				Mixture of (rac 4,5-Dehydro Pregabalin, rac 5,6-Dehydro Pregabalin And Pregabalin bromo-Impurity)
Mixture of (rac 4,5-Dehydro Pregabalin, rac 5,6-Dehydro Pregabalin And Pregabalin bromo-Impurity)
- Catalogue No.:PA 16 46690 
- CAS : - NA
- Molecular Formula : C24H44BrN3O6 
- Molecular Weight : 550.53 
 
	
			                                   
																				1-[3,4-Dihydroxy-6-hydroxymethyl-5-(3,4,5-trihydroxymethyl-6-hydroxymethyl-tetrahydro-pyran-2-yloxy)-tetrahydro-pyran-2-yl]-4-isobutyl-pyrrolidin-2-one
1-[3,4-Dihydroxy-6-hydroxymethyl-5-(3,4,5-trihydroxymethyl-6-hydroxymethyl-tetrahydro-pyran-2-yloxy)-tetrahydro-pyran-2-yl]-4-isobutyl-pyrrolidin-2-one
- Catalogue No.:PA 16 46720 
- CAS : - NA
- Molecular Formula : C23H41NO11 
- Molecular Weight : 507.57 
 
	
			                                   
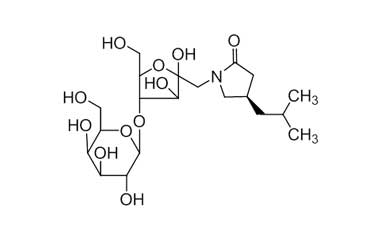
																				1-((2,3-Dihydroxy-5-(hydroxymethyl)-4-((3,4,5-trihydroxy-6-(hydroxymethyl)tetrahydro-2H-pyran-2-yl)oxy)tetrahydrofuran-2-yl)methyl)-4-isobutylpyrrolidin-2-one compound With 4-isobutyl-1-((2,3,5-Trihydroxy-4-((3,4,5-trihydroxy-6-(hydroxymethyl)tetrahydro-2H-pyran-2-yl)oxy)tetrahydro-2H-pyran-2-yl)methyl)pyrrolidin-2-one (1:2)
1-((2,3-Dihydroxy-5-(hydroxymethyl)-4-((3,4,5-trihydroxy-6-(hydroxymethyl)tetrahydro-2H-pyran-2-yl)oxy)tetrahydrofuran-2-yl)methyl)-4-isobutylpyrrolidin-2-one compound With 4-isobutyl-1-((2,3,5-Trihydroxy-4-((3,4,5-trihydroxy-6-(hydroxymethyl)tetrahydro-2H-pyran-2-yl)oxy)tetrahydro-2H-pyran-2-yl)methyl)pyrrolidin-2-one (1:2)
- Catalogue No.:PA 16 46730 
- CAS : - NA
- Molecular Formula : 2.C20H35NO11+C20H35NO11 
- Molecular Weight : 1396.48 
 
	
			                                   
																				(4R)-1-((2,3-Dihydroxy-5-(hydroxymethyl)-4-(((2S,3R,4S,5R,6R)-3,4,5-trihydroxy-6-(hydroxymethyl)tetrahydro-2H-pyran-2-yl)oxy)tetrahydrofuran-2-yl)methyl)-4-isobutylpyrrolidin-2-one
(4R)-1-((2,3-Dihydroxy-5-(hydroxymethyl)-4-(((2S,3R,4S,5R,6R)-3,4,5-trihydroxy-6-(hydroxymethyl)tetrahydro-2H-pyran-2-yl)oxy)tetrahydrofuran-2-yl)methyl)-4-isobutylpyrrolidin-2-one
- Catalogue No.:PA 16 46525 
- CAS : - 501666-23-5
- Molecular Formula : C20H35NO11 
- Molecular Weight : 465.5 
 
	
			                                   
																				(R)-4-Isobutyl-1-(((2R,3S,4S,5R)-2,3,4-trihydroxy-5-(hydroxymethyl)tetrahydrofuran-2-yl)methyl)pyrrolidin-2-one
(R)-4-Isobutyl-1-(((2R,3S,4S,5R)-2,3,4-trihydroxy-5-(hydroxymethyl)tetrahydrofuran-2-yl)methyl)pyrrolidin-2-one
- Catalogue No.:PA 16 46535 
- CAS : - 501666-26-8
- Molecular Formula : C14H25NO6 
- Molecular Weight : 303.36 
 
	
			                                   
																				1-Deoxy-1-[(4S)-4-(2-methylpropyl)-2-oxo-1-pyrrolidinyl]-D-fructose, Pyranose / Furanose Mixture and α/β Mixture
1-Deoxy-1-[(4S)-4-(2-methylpropyl)-2-oxo-1-pyrrolidinyl]-D-fructose, Pyranose / Furanose Mixture and α/β Mixture
- Catalogue No.:PA 16 46545 
- CAS : - NA
- Molecular Formula : C28H50N2O12 
- Molecular Weight : 606.71 
 
	
			                                   
																				(S)-4-Isobutyl-1-(((3S,4R,5R)-2,3,4,5-tetrahydroxytetrahydro-2H-pyran-2-yl)methyl)pyrrolidin-2-one
(S)-4-Isobutyl-1-(((3S,4R,5R)-2,3,4,5-tetrahydroxytetrahydro-2H-pyran-2-yl)methyl)pyrrolidin-2-one
- Catalogue No.:PA 16 46555 
- CAS : - NA
- Molecular Formula : C14H25NO6 
- Molecular Weight : 303.36 
 
	
			                                   
																				(S)-4-Isobutyl-1-(((3S,4S,5R)-2,3,4-trihydroxy-5-(hydroxymethyl)tetrahydrofuran-2-yl)methyl)pyrrolidin-2-one
(S)-4-Isobutyl-1-(((3S,4S,5R)-2,3,4-trihydroxy-5-(hydroxymethyl)tetrahydrofuran-2-yl)methyl)pyrrolidin-2-one
- Catalogue No.:PA 16 46565 
- CAS : - NA
- Molecular Formula : C14H25NO6 
- Molecular Weight : 303.36 
 
	
			                                   
																				(4R)-4-Isobutyl-1-(((3S,4R,5R)-2,3,4,5-tetrahydroxytetrahydro-2H-pyran-2-yl)methyl)pyrrolidin-2-one
(4R)-4-Isobutyl-1-(((3S,4R,5R)-2,3,4,5-tetrahydroxytetrahydro-2H-pyran-2-yl)methyl)pyrrolidin-2-one
- Catalogue No.:PA 16 46940 
- CAS : - NA
- Molecular Formula : C14H25NO6 
- Molecular Weight : 303.36 
 
	
			                                   
																				(R)-4-Isobutyl-1-(((2R,3S,4S,5R)-2,3,4,5-tetrahydroxytetrahydro-2H-pyran-2-yl)methyl)pyrrolidin-2-one
(R)-4-Isobutyl-1-(((2R,3S,4S,5R)-2,3,4,5-tetrahydroxytetrahydro-2H-pyran-2-yl)methyl)pyrrolidin-2-one
- Catalogue No.:PA 16 46950 
- CAS : - 501666-22-4
- Molecular Formula : C14H25NO6 
- Molecular Weight : 303.36 
 
	
			                                   
																				(R)-4-Isobutyl-1-(((2S,3S,4S,5R)-2,3,4,5-tetrahydroxytetrahydro-2H-pyran-2-yl)methyl)pyrrolidin-2-one
(R)-4-Isobutyl-1-(((2S,3S,4S,5R)-2,3,4,5-tetrahydroxytetrahydro-2H-pyran-2-yl)methyl)pyrrolidin-2-one
- Catalogue No.:PA 16 46960 
- CAS : - 501665-97-0
- Molecular Formula : C14H25NO6 
- Molecular Weight : 303.36 
 
	
			                                   
																				(S)-4-Isobutyl-1-(((2S,3S,4S,5R)-2,3,4,5-tetrahydroxytetrahydro-2H-pyran-2-yl)methyl)pyrrolidin-2-one
(S)-4-Isobutyl-1-(((2S,3S,4S,5R)-2,3,4,5-tetrahydroxytetrahydro-2H-pyran-2-yl)methyl)pyrrolidin-2-one
- Catalogue No.:PA 16 46970 
- CAS : - 466678-47-7
- Molecular Formula : C14H25NO6 
- Molecular Weight : 303.36 
 
	
			                                   
																				(R)-4-Isobutyl-1-(((2S,3S,4R,5R)-2,3,4,5-tetrahydroxytetrahydro-2H-pyran-2-yl)methyl)pyrrolidin-2-one
(R)-4-Isobutyl-1-(((2S,3S,4R,5R)-2,3,4,5-tetrahydroxytetrahydro-2H-pyran-2-yl)methyl)pyrrolidin-2-one
- Catalogue No.:PA 16 46615 
- CAS : - NA
- Molecular Formula : C14H25NO6 
- Molecular Weight : 303.36 
 
	
			                                   
																				(S)-4-Isobutyl-1-(((2R,3S,4R,5R)-2,3,4,5-tetrahydroxytetrahydro-2H-pyran-2-yl)methyl)pyrrolidin-2-one compound with (S)-4-isobutyl-1-(((2R,3S,4S,5R)-2,3,4-trihydroxy-5-(hydroxymethyl)tetrahydrofuran-2-yl)methyl)pyrrolidin-2-one and (S)-4-isobutyl-1-(((2S,3S,4S,5R)-2,3,4,5-tetrahydroxytetrahydro-2H-pyran-2-yl)methyl)pyrrolidin-2-one (1:1:1)
(S)-4-Isobutyl-1-(((2R,3S,4R,5R)-2,3,4,5-tetrahydroxytetrahydro-2H-pyran-2-yl)methyl)pyrrolidin-2-one compound with (S)-4-isobutyl-1-(((2R,3S,4S,5R)-2,3,4-trihydroxy-5-(hydroxymethyl)tetrahydrofuran-2-yl)methyl)pyrrolidin-2-one and (S)-4-isobutyl-1-(((2S,3S,4S,5R)-2,3,4,5-tetrahydroxytetrahydro-2H-pyran-2-yl)methyl)pyrrolidin-2-one (1:1:1)
- Catalogue No.:PA 16 0461005 
- CAS : - NA
- Molecular Formula : C14H25NO6+C14H25NO6+C14H25NO6 
- Molecular Weight : 303.36+303.36+303.36 
 
	
			                                   
																				(S)-1-(((2R,3S,4S,5R)-2,3-Dihydroxy-5-(hydroxymethyl)-4-(((2S,3R,4S,5R,6R)-3,4,5-trihydroxy-6-(hydroxymethyl)tetrahydro-2H-pyran-2-yl)oxy)tetrahydrofuran-2-yl)methyl)-4-isobutylpyrrolidin-2-one compound with 4-isobutyl-1-(((2R,3S,4R,5R)-2,3,5-trihydroxy-4-(((2S,3R,4S,5R,6R)-3,4,5-trihydroxy-6-(hydroxymethyl)tetrahydro-2H-pyran-2-yl)oxy)tetrahydro-2H-pyran-2-yl)methyl)pyrrolidin-2-one (1:1)
(S)-1-(((2R,3S,4S,5R)-2,3-Dihydroxy-5-(hydroxymethyl)-4-(((2S,3R,4S,5R,6R)-3,4,5-trihydroxy-6-(hydroxymethyl)tetrahydro-2H-pyran-2-yl)oxy)tetrahydrofuran-2-yl)methyl)-4-isobutylpyrrolidin-2-one compound with 4-isobutyl-1-(((2R,3S,4R,5R)-2,3,5-trihydroxy-4-(((2S,3R,4S,5R,6R)-3,4,5-trihydroxy-6-(hydroxymethyl)tetrahydro-2H-pyran-2-yl)oxy)tetrahydro-2H-pyran-2-yl)methyl)pyrrolidin-2-one (1:1)
- Catalogue No.:PA 16 0461006 
- CAS : - NA
- Molecular Formula : C20H35NO11+C20H35NO11 
- Molecular Weight : 465.5+465.50+465.50 

 
																				 
																				 
																				 
																				 
																				 
																				 
																				 
																				 
																				 
																				 
																				 
																				 
																				 
																				 
																				 
																				 
																				 
																				 
																				 
																				 
																				 
																				 
																				 
																				 
																				 
																				 
																				 
																				 
																				 
																				 
																				 
																				 
																				 
																				 
																				 
																				 
																				 
																				 
																				 
																				 
																				 
																				 
																				 
																				 
																				 
																				 
																				 
																				 
																				 
																				 
																				 
																				 
																				 
																				 
																				 
																				 
																				 
																				 
																				 
																				 
																				 
																				 
																				 
																				 
																				 
																				 
																				 
																				 
																				 
																				 
																				 
																				 
																				 
																				 
																				 
																				 
																				 
																				 
																				 
																				 
																				 
																				 
																				 
																				 
																				 
 
 
 
