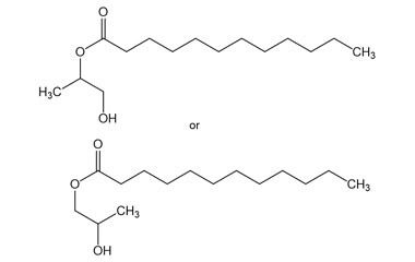
propylene glycol monolaurate and its Impurities
Propylene Glycol Monolaurate is used as a fungicide, bactericide and viricide used to control post-harvest decay. Reference standards of Propylene Glycol Monolaurate API, and its pharmacopeial, non pharmacopeial impurities, and stable isotopes are listed below.

