rifaximin and its Impurities
An anti- diarrheal drug, Rifaximin is an antibiotic. It hels in treating Irritable bowel syndrome. Rifaximin is a derivative of Rifamycin SV and a non-aminoglycoside semi-synthetic, nonsystemic antibiotic.Reference standards of Rifaximin API,and its pharmacopeial, non pharmacopeial impurities, and stable isotopes are listed below.


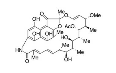
(2S,16Z,18E,20S,21S,22R,23R,24R,25S,26R,27S,28E)-25-(Acetyloxy)-6,21,23-trihydroxy-27-methoxy-2,4,16,20,22,24,26-heptamethyl-11-methylene-2,7-(epoxypentadeca[1,11,13]trienimino)benzofuro[4,5-e]pyrido[1,2-α]benzimidazole-1,5,15(2H,11H)-trione
(2S,16Z,18E,20S,21S,22R,23R,24R,25S,26R,27S,28E)-25-(Acetyloxy)-6,21,23-trihydroxy-27-methoxy-2,4,16,20,22,24,26-heptamethyl-11-methylene-2,7-(epoxypentadeca[1,11,13]trienimino)benzofuro[4,5-e]pyrido[1,2-α]benzimidazole-1,5,15(2H,11H)-trione
Catalogue No.:PA 18 27530
CAS :
1351775-04-6
Molecular Formula : C43H49N3O11
Molecular Weight : 783.86


(2S,16Z,18E,20S,21S,22R,23R,24R,25S,26R,27S,28E)-25-(Acetyloxy)-5,21,23-trihydroxy-27-methoxy-2,4,16,20,22,24,26-heptamethyl-11-methylene-2,7-(epoxypentadeca[1,11,13]trienimino)benzofuro[4,5-e]pyrido[1,2-α]benzimidazole-1,6,15(2H,11H)-trione
(2S,16Z,18E,20S,21S,22R,23R,24R,25S,26R,27S,28E)-25-(Acetyloxy)-5,21,23-trihydroxy-27-methoxy-2,4,16,20,22,24,26-heptamethyl-11-methylene-2,7-(epoxypentadeca[1,11,13]trienimino)benzofuro[4,5-e]pyrido[1,2-α]benzimidazole-1,6,15(2H,11H)-trione
Catalogue No.:PA 18 27540
CAS :
1351775-03-5
Molecular Formula : C43H49N3O11
Molecular Weight : 783.86