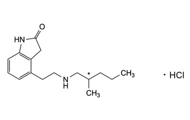
ropinirole hydrochloride and its Impurities
Ropinirole Hydrochloride is prescribed for mainly Parkinson's disease, RLS and extrapyramidal symptoms. It is available as a generic medication. Ropinirole, sold under the brand name Requip.Reference standards of Ropinirole Hydrochloride API,and its pharmacopeial, non pharmacopeial impurities, and stable isotopes are listed below.

 
	
			                                   
																				 
																				 
																				 
																				 
																				 
																				 
																				 
																				 
																				 
																				 
																				 
																				 
																				 
 
 
 
