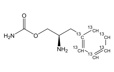
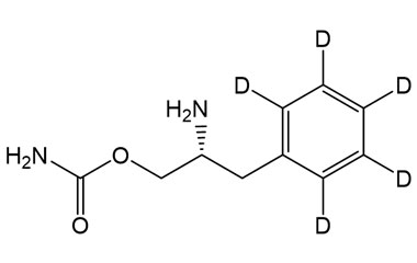
Solriamfetol and its Impurities
Solriamfetol, sold under the brand name Sunosi, is a medication used for the treatment of excessive sleepiness associated with narcolepsy and sleep apnea. Reference standards of Solriamfetol API, and its pharmacopeial, non pharmacopeial impurities, and stable isotopes are listed below.

