spinosyn a and its Impurities
A naturally occurring tetracyclic compound which is a major component of spinosad, an organic insecticide and an FDA-approved agent used worldwide. Reference standards of Spinosyn A API,and its pharmacopeial, non pharmacopeial impurities, and stable isotopes are listed below.
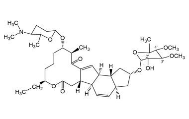
(2R,3aS,5aR,5bS,9S,13S,14R,16aS,16bR)-13-(((2R,5S,6R)-5-(Dimethylamino)-6-methyltetrahydro-2H-pyran-2-yl)oxy)-9-ethyl-2-(((2R,3S,4S,6S)-3-hydroxy-4,5-dimethoxy-6-methyltetrahydro-2H-pyran-2-yl)oxy)-14-methyl-2,3,3a,5a,5b,6,9,10,11,12,13,14,16a,16b-tetradecahydro-1H-as-indaceno[3,2-d][1]oxacyclododecine-7,15-dione
(2R,3aS,5aR,5bS,9S,13S,14R,16aS,16bR)-13-(((2R,5S,6R)-5-(Dimethylamino)-6-methyltetrahydro-2H-pyran-2-yl)oxy)-9-ethyl-2-(((2R,3S,4S,6S)-3-hydroxy-4,5-dimethoxy-6-methyltetrahydro-2H-pyran-2-yl)oxy)-14-methyl-2,3,3a,5a,5b,6,9,10,11,12,13,14,16a,16b-tetradecahydro-1H-as-indaceno[3,2-d][1]oxacyclododecine-7,15-dione
Catalogue No.:PA 19 0941003
CAS :
187165-90-8
Molecular Formula : C40H63NO10
Molecular Weight : 717.94

