spiramycin and its Impurities
A macrolide antibiotic and antiparasitic drug, Siramycin is used in the treatment of arasotic diseases like toxoplasmosis and other infections caused in the soft tissues.Reference standards of Spiramycin API,and its pharmacopeial, non pharmacopeial impurities, and stable isotopes are listed below.
 
	
			                                   
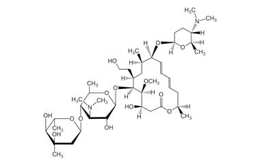
																				Spiramycin - Impurity B
(4R,5S,6S,7R,9R,10R,11E,13E,16R)-6-[[3,6-Dideoxy-4-O-(2,6-dideoxy-3-C-methyl-α-L-ribo-hexopyranosyl)-3- (dimethylamino)-β-D-glucopyranosyl]oxy]-4-hydroxy-7-(2-hydroxyethyl)-5-methoxy-9,16-dimethyl-10-[[2,3,4,6-tetradeoxy-4-(dimethylamino)-β-D-erythro-hexopyranosyl]oxy]oxacyclohexadeca-11,13-dien-2-one
- Catalogue No.:PA 19 73020 
- CAS : - 249930-66-3
- Molecular Formula : C43H76N2O14 
- Molecular Weight : 845.08 
 
	
			                                   
																				2’-O-Acetyl-4’’-O-tert-butyldimethylsilylspiramycin I 3,18-(O-tert-Butyldimethylsilyl)acetal
2’-O-Acetyl-4’’-O-tert-butyldimethylsilylspiramycin I 3,18-(O-tert-Butyldimethylsilyl)acetal
- Catalogue No.:PA 19 73540 
- CAS : - 96405-32-2
- Molecular Formula : C57H104N2O15Si2 
- Molecular Weight : 1113.6 
 
	
			                                   
																				2’-O-Acetyl-4’’-O-tert-butyldimethylsilyl-4’’’-de-N-methylspiramycin I 3,18-(O-tert-Butyldimethylsilyl)acetal
2’-O-Acetyl-4’’-O-tert-butyldimethylsilyl-4’’’-de-N-methylspiramycin I 3,18-(O-tert-Butyldimethylsilyl)acetal
- Catalogue No.:PA 19 73550 
- CAS : - 96405-33-3
- Molecular Formula : C56H102N2O15Si2 
- Molecular Weight : 1099.58 

 
																				 
																				 
																				 
																				 
																				 
																				 
																				 
																				 
																				 
																				 
																				 
																				 
																				 
																				 
																				 
 
 
 
