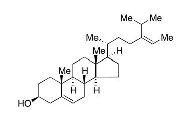
stigmasterol and its Impurities
Stigmasterol is an unsaturated plant sterol, which may be useful in prevention of certain cancers. Stigmasterol – a plant sterol – is among the most abundant of plant sterols, having a major function to maintain the structure and physiology of cell membranes.Reference standards of Stigmasterol API,and its pharmacopeial, non pharmacopeial impurities, and stable isotopes are listed below.
(3S,10R,13R)-17-((2R,5R)-5-Ethyl-6-methylheptan-2-yl)-10,13-dimethyl-2,3,4,7,8,9,10,11,12,13,14,15,16,17-tetradecahydro-1H-cyclopenta[a]phenanthren-3-yl Acetate
(3S,10R,13R)-17-((2R,5R)-5-Ethyl-6-methylheptan-2-yl)-10,13-dimethyl-2,3,4,7,8,9,10,11,12,13,14,15,16,17-tetradecahydro-1H-cyclopenta[a]phenanthren-3-yl Acetate
Catalogue No.:PAI 46 018002
CAS :
NA
Molecular Formula : C31H52O2
Molecular Weight : 456.76
(3S,10R,13R)-17-((2R,5R)-5-Ethyl-6-methylheptan-2-yl)-10,13-dimethyl-7-oxo-2,3,4,7,8,9,10,11,12,13,14,15,16,17-tetradecahydro-1H-cyclopenta[a]phenanthren-3-yl Acetate
(3S,10R,13R)-17-((2R,5R)-5-Ethyl-6-methylheptan-2-yl)-10,13-dimethyl-7-oxo-2,3,4,7,8,9,10,11,12,13,14,15,16,17-tetradecahydro-1H-cyclopenta[a]phenanthren-3-yl Acetate
Catalogue No.:PAI 46 018003
CAS :
NA
Molecular Formula : C31H50O3
Molecular Weight : 470.74
(3S,10S,13R)-17-((2R,5R)-5-Ethyl-6-methylheptan-2-yl)-3-hydroxy-10,13-dimethylhexadecahydro-7H-cyclopenta[a]phenanthren-7-one
(3S,10S,13R)-17-((2R,5R)-5-Ethyl-6-methylheptan-2-yl)-3-hydroxy-10,13-dimethylhexadecahydro-7H-cyclopenta[a]phenanthren-7-one
Catalogue No.:PAI 46 018004
CAS :
NA
Molecular Formula : C29H50O2
Molecular Weight : 430.72
N'-((3S,10S,13R,Z)-17-((2R,5R)-5-Ethyl-6-methylheptan-2-yl)-3-hydroxy-10,13-dimethylhexadecahydro-7H-cyclopenta[a]phenanthren-7-ylidene)-4-methylbenzenesulfonohydrazide
N'-((3S,10S,13R,Z)-17-((2R,5R)-5-Ethyl-6-methylheptan-2-yl)-3-hydroxy-10,13-dimethylhexadecahydro-7H-cyclopenta[a]phenanthren-7-ylidene)-4-methylbenzenesulfonohydrazide
Catalogue No.:PAI 46 018005
CAS :
NA
Molecular Formula : C36H58N2O3S
Molecular Weight : 598.93

