sucralose and its Impurities

A low calorie artificial sweetener used in food and beverages. A substitute of sugar.Reference standards of Sucralose API,and its pharmacopeial, non pharmacopeial impurities, and stable isotopes are listed below.

Displaying 13 results for sucralose Impurities
Drug Reference Standards & Impurity Synthesis in India
PA 19 64000

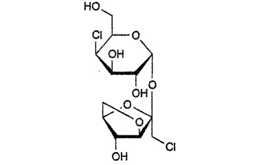
Sucralose

Sucralose


  • Catalogue No.:PA 19 64000

  • CAS :

    56038-13-2

  • Molecular Formula : C12H19Cl3O8

  • Molecular Weight : 397.64

Drug Reference Standards & Impurity Synthesis in India
PA 19 64020

Sucralose - Impurity B

1',6,6'-Trichloro-1',6,6'-trideoxysucrose


  • Catalogue No.:PA 19 64020

  • CAS :

    40631-75-2

  • Molecular Formula : C12H19Cl3O8

  • Molecular Weight : 397.63

Drug Reference Standards & Impurity Synthesis in India
PA 19 64080

Sucralose - Impurity H

1,6-Dichloro-1,6-dideoxy-β-D-fructofuranose


  • Catalogue No.:PA 19 64080

  • CAS :

    78508-21-1

  • Molecular Formula : C6H10Cl2O4

  • Molecular Weight : 217.04

Drug Reference Standards & Impurity Synthesis in India
PA 19 64090

Sucralose - Impurity I

4-Chloro-4-deoxy-α-D-galactopyranose


  • Catalogue No.:PA 19 64090

  • CAS :

    848642-13-7

  • Molecular Formula : C6H11ClO5

  • Molecular Weight : 198.60

Drug Reference Standards & Impurity Synthesis in India
PA EPY0001342

Sucralose impurity B (Y0001342)

Sucralose impurity B (Y0001342)


  • Catalogue No.:PA EPY0001342

  • CAS :

    NA

  • Molecular Formula : NA

  • Molecular Weight : NA

Drug Reference Standards & Impurity Synthesis in India
PA EPY0001344

Sucralose (Y0001344)

Sucralose (Y0001344)


  • Catalogue No.:PA EPY0001344

  • CAS :

    NA

  • Molecular Formula : NA

  • Molecular Weight : NA

Drug Reference Standards & Impurity Synthesis in India
PA USP1623626

Sucralose (1623626)

Sucralose (1623626)


  • Catalogue No.:PA USP1623626

  • CAS :

    56038-13-2

  • Molecular Formula : NA

  • Molecular Weight : NA

Drug Reference Standards & Impurity Synthesis in India
PA 19 0640010

Sucralose - Impurity A

6-O-Acetylsucralose


  • Catalogue No.:PA 19 0640010

  • CAS :

    105066-21-5

  • Molecular Formula : C14H21Cl3O9

  • Molecular Weight : 439.66

Drug Reference Standards & Impurity Synthesis in India
PA 19 0640040

Sucralose - Impurity D

1-Chloro-1-deoxy-β-D-fructofuranosyl 4-chloro-4-deoxy-α-D-galactopyranoside


  • Catalogue No.:PA 19 0640040

  • CAS :

    64644-65-1

  • Molecular Formula : C12H20Cl2O9

  • Molecular Weight : 379.18

Drug Reference Standards & Impurity Synthesis in India
PA 19 0640050

Sucralose - Impurity E

6-Chloro-6-deoxy-β-D-fructofuranosyl 4-chloro-4-deoxy-α-D-galactopyranoside


  • Catalogue No.:PA 19 0640050

  • CAS :

    55832-24-1

  • Molecular Formula : C12H20Cl2O9

  • Molecular Weight : 379.18

Drug Reference Standards & Impurity Synthesis in India
PA 19 0640060

Sucralose - Impurity F

1,6-Dichloro-1,6-dideoxy-β-D-fructofuranosyl α-D-glucopyranoside


  • Catalogue No.:PA 19 0640060

  • CAS :

    61854-83-9

  • Molecular Formula : C12H20Cl2O9

  • Molecular Weight : 379.18

Drug Reference Standards & Impurity Synthesis in India
PA 19 0640070

Sucralose - Impurity G

3,6-Anhydro-1-chloro-1-deoxy-β-D-fructofuranosyl 4-chloro-4-deoxy-α-D-galactopyranoside


  • Catalogue No.:PA 19 0640070

  • CAS :

    105066-20-4

  • Molecular Formula : C12H18Cl2O8

  • Molecular Weight : 361.17

Drug Reference Standards & Impurity Synthesis in India
PA IPRSS027

Sucralose (IPRSS027)

Sucralose (IPRSS027)


  • Catalogue No.:PA IPRSS027

  • CAS :

    NA

  • Molecular Formula : NA

  • Molecular Weight : NA

pharmaffiliates