sugammadex and its Impurities
Sugammadex is used to reverse neuromuscular blockade after administration of the aminosterioid non-depolarizing neuromuscular-blocking agents such as vecuronium or rocuronium. It is a selective relaxant binding agent. Reference standards of Sugammadex API,and its pharmacopeial, non pharmacopeial impurities, and stable isotopes are listed below.
	
			                                  
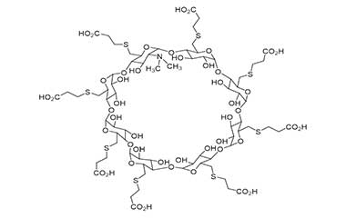
																				6A,6B,6C,6D,6E,6F,6G,6H-octadeoxy-6A,6B,6C,6D,6E,6F,6G,6H-octakis[(2-carboxyethyl)sulfinyl]-?-Cyclodextrin, sodium salt (1:8)
6A,6B,6C,6D,6E,6F,6G,6H-octadeoxy-6A,6B,6C,6D,6E,6F,6G,6H-octakis[(2-carboxyethyl)sulfinyl]-?-Cyclodextrin, sodium salt (1:8)
Catalogue No.:PA 46 0051009
CAS :
NA
Molecular Formula : C72H104Na8O56S8
Molecular Weight : 2305.97
	
			                                  
																				Mixture of Mono-(2A-deoxy-2A-(2-carboxyethyl)thio)-altro-Sugammadex and Mono(3-deoxy-3-(2-carboxyethyl)thio)-Sugammadex Sodium Salt
Mixture of Mono-(2A-deoxy-2A-(2-carboxyethyl)thio)-altro-Sugammadex and Mono(3-deoxy-3-(2-carboxyethyl)thio)-Sugammadex Sodium Salt
Catalogue No.:PA 46 0051045
CAS :
NA
Molecular Formula : C75H107Na9O49S9
Molecular Weight : 2288.08

																				
																				
																				
																				
																				
																				
																				
																				
																				
																				
																				
																				
																				
																				
																				
																				
																				
																				
																				
																				
																				
																				
																				
																				
																				
																				
																				
																				
																				
																				
																				
																				
																				
																				
																				
																				
																				
																				
																				
																				
																				
																				
																				
																				
																				
																				
																				
																				
																				
																				
																				
																				
																				
																				
																				
																				
																				
																				
																				
																				
																				
																				
																				
																				
																				
																				
																				
																				
																				
																				
																				
																				
																				
																				
																				
																				
																				
																				
																				
																				
																				
																				
																				
																				
																				
																				
																				
																				
																				
