thalidomide and its Impurities
An immunomodulatory drug used for treatment of multiple myeloma. Reference standards of Thalidomide API,and its pharmacopeial, non pharmacopeial impurities, and stable isotopes are listed below.
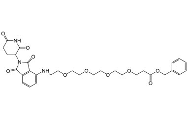
Benzyl 1-((2-(2,6-dioxopiperidin-3-yl)-1,3-dioxoisoindolin-4-yl)amino)-3,6,9,12-tetraoxapentadecan-15-oate
Benzyl 1-((2-(2,6-dioxopiperidin-3-yl)-1,3-dioxoisoindolin-4-yl)amino)-3,6,9,12-tetraoxapentadecan-15-oate
Catalogue No.:PA PRO 0232000093
CAS :
NA
Molecular Formula : C31H37N3O10
Molecular Weight : 611.65
Benzyl 1-((2-(2,6-dioxopiperidin-3-yl)-1,3-dioxoisoindolin-5-yl)amino)-3,6,9,12-tetraoxapentadecan-15-oate
Benzyl 1-((2-(2,6-dioxopiperidin-3-yl)-1,3-dioxoisoindolin-5-yl)amino)-3,6,9,12-tetraoxapentadecan-15-oate
Catalogue No.:PA PRO 0232000094
CAS :
NA
Molecular Formula : C31H37N3O10
Molecular Weight : 611.65
2-(2,6-Dioxopiperidin-3-yl)-4-((1-phenyl-2,5,8,11,14,17-hexaoxanonadecan-19-yl)oxy)isoindoline-1,3-dione
2-(2,6-Dioxopiperidin-3-yl)-4-((1-phenyl-2,5,8,11,14,17-hexaoxanonadecan-19-yl)oxy)isoindoline-1,3-dione
Catalogue No.:PA PRO 0232000095
CAS :
NA
Molecular Formula : C32H40N2O11
Molecular Weight : 628.68
2-(2,6-Dioxopiperidin-3-yl)-5-((1-phenyl-2,5,8,11,14,17-hexaoxanonadecan-19-yl)oxy)isoindoline-1,3-dione
2-(2,6-Dioxopiperidin-3-yl)-5-((1-phenyl-2,5,8,11,14,17-hexaoxanonadecan-19-yl)oxy)isoindoline-1,3-dione
Catalogue No.:PA PRO 0232000096
CAS :
NA
Molecular Formula : C32H40N2O11
Molecular Weight : 628.68
tert-Butyl (29-((2-(2,6-dioxopiperidin-3-yl)-1,3-dioxoisoindolin-4-yl)oxy)-3,6,9,12,15,18,21,24,27-nonaoxanonacosyl)carbamate
tert-Butyl (29-((2-(2,6-dioxopiperidin-3-yl)-1,3-dioxoisoindolin-4-yl)oxy)-3,6,9,12,15,18,21,24,27-nonaoxanonacosyl)carbamate
Catalogue No.:PA PRO 0232000097
CAS :
NA
Molecular Formula : C38H59N3O16
Molecular Weight : 813.9
tert-Butyl (29-((2-(2,6-dioxopiperidin-3-yl)-1,3-dioxoisoindolin-5-yl)oxy)-3,6,9,12,15,18,21,24,27-nonaoxanonacosyl)carbamate
tert-Butyl (29-((2-(2,6-dioxopiperidin-3-yl)-1,3-dioxoisoindolin-5-yl)oxy)-3,6,9,12,15,18,21,24,27-nonaoxanonacosyl)carbamate
Catalogue No.:PA PRO 0232000098
CAS :
NA
Molecular Formula : C38H59N3O16
Molecular Weight : 813.9
tert-Butyl (23-((2-(2,6-dioxopiperidin-3-yl)-1,3-dioxoisoindolin-4-yl)amino)-3,6,9,12,15,18,21-heptaoxatricosyl)carbamate
tert-Butyl (23-((2-(2,6-dioxopiperidin-3-yl)-1,3-dioxoisoindolin-4-yl)amino)-3,6,9,12,15,18,21-heptaoxatricosyl)carbamate
Catalogue No.:PA PRO 0232000099
CAS :
NA
Molecular Formula : C34H52N4O13
Molecular Weight : 724.81
tert-Butyl (23-((2-(2,6-dioxopiperidin-3-yl)-1,3-dioxoisoindolin-5-yl)amino)-3,6,9,12,15,18,21-heptaoxatricosyl)carbamate
tert-Butyl (23-((2-(2,6-dioxopiperidin-3-yl)-1,3-dioxoisoindolin-5-yl)amino)-3,6,9,12,15,18,21-heptaoxatricosyl)carbamate
Catalogue No.:PA PRO 0232000100
CAS :
NA
Molecular Formula : C34H52N4O13
Molecular Weight : 724.81
tert-Butyl (29-((2-(2,6-dioxopiperidin-3-yl)-1,3-dioxoisoindolin-4-yl)amino)-3,6,9,12,15,18,21,24,27-nonaoxanonacosyl)carbamate
tert-Butyl (29-((2-(2,6-dioxopiperidin-3-yl)-1,3-dioxoisoindolin-4-yl)amino)-3,6,9,12,15,18,21,24,27-nonaoxanonacosyl)carbamate
Catalogue No.:PA PRO 0232000101
CAS :
NA
Molecular Formula : C38H60N4O15
Molecular Weight : 812.91
tert-Butyl (29-((2-(2,6-dioxopiperidin-3-yl)-1,3-dioxoisoindolin-5-yl)amino)-3,6,9,12,15,18,21,24,27-nonaoxanonacosyl)carbamate
tert-Butyl (29-((2-(2,6-dioxopiperidin-3-yl)-1,3-dioxoisoindolin-5-yl)amino)-3,6,9,12,15,18,21,24,27-nonaoxanonacosyl)carbamate
Catalogue No.:PA PRO 0232000102
CAS :
NA
Molecular Formula : C38H60N4O15
Molecular Weight : 812.91
2-(2,6-Dioxopiperidin-3-yl)-4-((1-phenyl-2,5,8,11,14-pentaoxahexadecan-16-yl)amino)isoindoline-1,3-dione
2-(2,6-Dioxopiperidin-3-yl)-4-((1-phenyl-2,5,8,11,14-pentaoxahexadecan-16-yl)amino)isoindoline-1,3-dione
Catalogue No.:PA PRO 0232000103
CAS :
NA
Molecular Formula : C30H37N3O9
Molecular Weight : 583.64
2-(2,6-Dioxopiperidin-3-yl)-5-((1-phenyl-2,5,8,11,14-pentaoxahexadecan-16-yl)amino)isoindoline-1,3-dione
2-(2,6-Dioxopiperidin-3-yl)-5-((1-phenyl-2,5,8,11,14-pentaoxahexadecan-16-yl)amino)isoindoline-1,3-dione
Catalogue No.:PA PRO 0232000104
CAS :
2933214-48-1
Molecular Formula : C30H37N3O9
Molecular Weight : 583.64
2-(2,6-Dioxopiperidin-3-yl)-4-((1-phenyl-2,5,8,11,14,17,20,23,26-nonaoxaoctacosan-28-yl)oxy)isoindoline-1,3-dione
2-(2,6-Dioxopiperidin-3-yl)-4-((1-phenyl-2,5,8,11,14,17,20,23,26-nonaoxaoctacosan-28-yl)oxy)isoindoline-1,3-dione
Catalogue No.:PA PRO 0232000105
CAS :
NA
Molecular Formula : C38H52N2O14
Molecular Weight : 760.83
2-(2,6-Dioxopiperidin-3-yl)-5-((1-phenyl-2,5,8,11,14,17,20,23,26-nonaoxaoctacosan-28-yl)oxy)isoindoline-1,3-dione
2-(2,6-Dioxopiperidin-3-yl)-5-((1-phenyl-2,5,8,11,14,17,20,23,26-nonaoxaoctacosan-28-yl)oxy)isoindoline-1,3-dione
Catalogue No.:PA PRO 0232000106
CAS :
NA
Molecular Formula : C38H52N2O14
Molecular Weight : 760.83
tert-Butyl 1-((2-(2,6-dioxopiperidin-3-yl)-1,3-dioxoisoindolin-4-yl)amino)-3,6,9,12,15-pentaoxaoctadecan-18-oate
tert-Butyl 1-((2-(2,6-dioxopiperidin-3-yl)-1,3-dioxoisoindolin-4-yl)amino)-3,6,9,12,15-pentaoxaoctadecan-18-oate
Catalogue No.:PA PRO 0232000107
CAS :
2140807-10-7
Molecular Formula : C30H43N3O11
Molecular Weight : 621.68
tert-Butyl 1-((2-(2,6-dioxopiperidin-3-yl)-1,3-dioxoisoindolin-5-yl)amino)-3,6,9,12,15-pentaoxaoctadecan-18-oate
tert-Butyl 1-((2-(2,6-dioxopiperidin-3-yl)-1,3-dioxoisoindolin-5-yl)amino)-3,6,9,12,15-pentaoxaoctadecan-18-oate
Catalogue No.:PA PRO 0232000108
CAS :
2412056-51-8
Molecular Formula : C30H43N3O11
Molecular Weight : 621.68
tert-Butyl 3-((1-(2-(2,6-dioxopiperidin-3-yl)-1,3-dioxoisoindolin-4-yl)piperidin-4-yl)oxy)pyrrolidine-1-carboxylate
tert-Butyl 3-((1-(2-(2,6-dioxopiperidin-3-yl)-1,3-dioxoisoindolin-4-yl)piperidin-4-yl)oxy)pyrrolidine-1-carboxylate
Catalogue No.:PA PRO 0232000109
CAS :
NA
Molecular Formula : C27H34N4O7
Molecular Weight : 526.59
tert-Butyl 3-((1-(2-(2,6-dioxopiperidin-3-yl)-1,3-dioxoisoindolin-5-yl)piperidin-4-yl)oxy)pyrrolidine-1-carboxylate
tert-Butyl 3-((1-(2-(2,6-dioxopiperidin-3-yl)-1,3-dioxoisoindolin-5-yl)piperidin-4-yl)oxy)pyrrolidine-1-carboxylate
Catalogue No.:PA PRO 0232000110
CAS :
NA
Molecular Formula : C27H34N4O7
Molecular Weight : 526.59
tert-butyl 4-((1-(2-(2,6-Dioxopiperidin-3-yl)-1,3-dioxoisoindolin-5-yl)piperidin-4-yl)oxy)piperidine-1-carboxylate
tert-butyl 4-((1-(2-(2,6-Dioxopiperidin-3-yl)-1,3-dioxoisoindolin-5-yl)piperidin-4-yl)oxy)piperidine-1-carboxylate
Catalogue No.:PA PRO 0232000111
CAS :
2589706-80-7
Molecular Formula : C28H36N4O7
Molecular Weight : 540.62
tert-butyl 4-((1-(2-(2,6-Dioxopiperidin-3-yl)-1,3-dioxoisoindolin-4-yl)piperidin-4-yl)oxy)piperidine-1-carboxylate
tert-butyl 4-((1-(2-(2,6-Dioxopiperidin-3-yl)-1,3-dioxoisoindolin-4-yl)piperidin-4-yl)oxy)piperidine-1-carboxylate
Catalogue No.:PA PRO 0232000112
CAS :
NA
Molecular Formula : C28H36N4O7
Molecular Weight : 540.62
tert-butyl (1-((1-(2-(2,6-Dioxopiperidin-3-yl)-1,3-dioxoisoindolin-4-yl)piperidin-4-yl)methyl)piperidin-4-yl)carbamate
tert-butyl (1-((1-(2-(2,6-Dioxopiperidin-3-yl)-1,3-dioxoisoindolin-4-yl)piperidin-4-yl)methyl)piperidin-4-yl)carbamate
Catalogue No.:PA PRO 0232000113
CAS :
2716124-12-6
Molecular Formula : C29H39N5O6
Molecular Weight : 553.66
tert-butyl (1-((1-(2-(2,6-Dioxopiperidin-3-yl)-1,3-dioxoisoindolin-5-yl)piperidin-4-yl)methyl)piperidin-4-yl)carbamate
tert-butyl (1-((1-(2-(2,6-Dioxopiperidin-3-yl)-1,3-dioxoisoindolin-5-yl)piperidin-4-yl)methyl)piperidin-4-yl)carbamate
Catalogue No.:PA PRO 0232000114
CAS :
2716124-23-9
Molecular Formula : C29H39N5O6
Molecular Weight : 553.66
tert-butyl (1-(1-(2-(2,6-Dioxopiperidin-3-yl)-1,3-dioxoisoindolin-4-yl)piperidin-4-yl)azetidin-3-yl)carbamate
tert-butyl (1-(1-(2-(2,6-Dioxopiperidin-3-yl)-1,3-dioxoisoindolin-4-yl)piperidin-4-yl)azetidin-3-yl)carbamate
Catalogue No.:PA PRO 0232000115
CAS :
2874277-00-4
Molecular Formula : C26H33N5O6
Molecular Weight : 511.58
tert-butyl (1-(1-(2-(2,6-Dioxopiperidin-3-yl)-1,3-dioxoisoindolin-5-yl)piperidin-4-yl)azetidin-3-yl)carbamate
tert-butyl (1-(1-(2-(2,6-Dioxopiperidin-3-yl)-1,3-dioxoisoindolin-5-yl)piperidin-4-yl)azetidin-3-yl)carbamate
Catalogue No.:PA PRO 0232000116
CAS :
NA
Molecular Formula : C26H33N5O6
Molecular Weight : 511.58
tert-Butyl (1'-(2-(2,6-Dioxopiperidin-3-yl)-1,3-dioxoisoindolin-4-yl)-[1,4'-bipiperidin]-4-yl)carbamate
tert-Butyl (1'-(2-(2,6-Dioxopiperidin-3-yl)-1,3-dioxoisoindolin-4-yl)-[1,4'-bipiperidin]-4-yl)carbamate
Catalogue No.:PA PRO 0232000117
CAS :
NA
Molecular Formula : C28H37N5O6
Molecular Weight : 539.63
tert-Butyl (1'-(2-(2,6-Dioxopiperidin-3-yl)-1,3-dioxoisoindolin-5-yl)-[1,4'-bipiperidin]-4-yl)carbamate
tert-Butyl (1'-(2-(2,6-Dioxopiperidin-3-yl)-1,3-dioxoisoindolin-5-yl)-[1,4'-bipiperidin]-4-yl)carbamate
Catalogue No.:PA PRO 0232000118
CAS :
NA
Molecular Formula : C28H37N5O6
Molecular Weight : 539.63
tert-Butyl 4-((2-(2,6-Dioxopiperidin-3-yl)-1,3-dioxoisoindolin-4-yl)amino)-[1,4'-bipiperidine]-1'-carboxylate
tert-Butyl 4-((2-(2,6-Dioxopiperidin-3-yl)-1,3-dioxoisoindolin-4-yl)amino)-[1,4'-bipiperidine]-1'-carboxylate
Catalogue No.:PA PRO 0232000119
CAS :
2434845-13-1
Molecular Formula : C28H37N5O6
Molecular Weight : 539.63
tert-Butyl 4-((2-(2,6-Dioxopiperidin-3-yl)-1,3-dioxoisoindolin-5-yl)amino)-[1,4'-bipiperidine]-1'-carboxylate
tert-Butyl 4-((2-(2,6-Dioxopiperidin-3-yl)-1,3-dioxoisoindolin-5-yl)amino)-[1,4'-bipiperidine]-1'-carboxylate
Catalogue No.:PA PRO 0232000120
CAS :
NA
Molecular Formula : C28H37N5O6
Molecular Weight : 539.63
tert-Butyl 3-(4-(2-(2,6-Dioxopiperidin-3-yl)-1,3-dioxoisoindolin-4-yl)piperazin-1-yl)azetidine-1-carboxylate
tert-Butyl 3-(4-(2-(2,6-Dioxopiperidin-3-yl)-1,3-dioxoisoindolin-4-yl)piperazin-1-yl)azetidine-1-carboxylate
Catalogue No.:PA PRO 0232000121
CAS :
2874276-98-7
Molecular Formula : C25H31N5O6
Molecular Weight : 497.55
tert-Butyl 3-(4-(2-(2,6-Dioxopiperidin-3-yl)-1,3-dioxoisoindolin-5-yl)piperazin-1-yl)azetidine-1-carboxylate
tert-Butyl 3-(4-(2-(2,6-Dioxopiperidin-3-yl)-1,3-dioxoisoindolin-5-yl)piperazin-1-yl)azetidine-1-carboxylate
Catalogue No.:PA PRO 0232000122
CAS :
2776896-11-6
Molecular Formula : C25H31N5O6
Molecular Weight : 497.55
tert-Butyl 4-(4-(2-(2,6-Dioxopiperidin-3-yl)-1,3-dioxoisoindolin-4-yl)piperazin-1-yl)piperidine-1-carboxylate
tert-Butyl 4-(4-(2-(2,6-Dioxopiperidin-3-yl)-1,3-dioxoisoindolin-4-yl)piperazin-1-yl)piperidine-1-carboxylate
Catalogue No.:PA PRO 0232000123
CAS :
2801714-68-9
Molecular Formula : C27H35N5O6
Molecular Weight : 525.61
tert-Butyl 4-(4-(2-(2,6-Dioxopiperidin-3-yl)-1,3-dioxoisoindolin-5-yl)piperazin-1-yl)piperidine-1-carboxylate
tert-Butyl 4-(4-(2-(2,6-Dioxopiperidin-3-yl)-1,3-dioxoisoindolin-5-yl)piperazin-1-yl)piperidine-1-carboxylate
Catalogue No.:PA PRO 0232000124
CAS :
2229716-09-8
Molecular Formula : C27H35N5O6
Molecular Weight : 525.61
tert-Butyl 4-(1-(2-(2,6-Dioxopiperidin-3-yl)-1,3-dioxoisoindolin-4-yl)piperidin-4-yl)piperazine-1-carboxylate
tert-Butyl 4-(1-(2-(2,6-Dioxopiperidin-3-yl)-1,3-dioxoisoindolin-4-yl)piperidin-4-yl)piperazine-1-carboxylate
Catalogue No.:PA PRO 0232000125
CAS :
2816979-71-0
Molecular Formula : C27H35N5O6
Molecular Weight : 525.61
tert-Butyl 4-(1-(2-(2,6-Dioxopiperidin-3-yl)-1,3-dioxoisoindolin-5-yl)piperidin-4-yl)piperazine-1-carboxylate
tert-Butyl 4-(1-(2-(2,6-Dioxopiperidin-3-yl)-1,3-dioxoisoindolin-5-yl)piperidin-4-yl)piperazine-1-carboxylate
Catalogue No.:PA PRO 0232000126
CAS :
2988881-93-0
Molecular Formula : C27H35N5O6
Molecular Weight : 525.61
tert-Butyl 3-((4-(2-(2,6-Dioxopiperidin-3-yl)-1,3-dioxoisoindolin-4-yl)piperazin-1-yl)methyl)pyrrolidine-1-carboxylate
tert-Butyl 3-((4-(2-(2,6-Dioxopiperidin-3-yl)-1,3-dioxoisoindolin-4-yl)piperazin-1-yl)methyl)pyrrolidine-1-carboxylate
Catalogue No.:PA PRO 0232000127
CAS :
NA
Molecular Formula : C27H35N5O6
Molecular Weight : 525.61
tert-Butyl 3-((4-(2-(2,6-Dioxopiperidin-3-yl)-1,3-dioxoisoindolin-5-yl)piperazin-1-yl)methyl)pyrrolidine-1-carboxylate
tert-Butyl 3-((4-(2-(2,6-Dioxopiperidin-3-yl)-1,3-dioxoisoindolin-5-yl)piperazin-1-yl)methyl)pyrrolidine-1-carboxylate
Catalogue No.:PA PRO 0232000128
CAS :
NA
Molecular Formula : C27H35N5O6
Molecular Weight : 525.61
tert-Butyl 4-((1-(2-(2,6-Dioxopiperidin-3-yl)-1,3-dioxoisoindolin-4-yl)pyrrolidin-3-yl)oxy)piperidine-1-carboxylate
tert-Butyl 4-((1-(2-(2,6-Dioxopiperidin-3-yl)-1,3-dioxoisoindolin-4-yl)pyrrolidin-3-yl)oxy)piperidine-1-carboxylate
Catalogue No.:PA PRO 0232000129
CAS :
NA
Molecular Formula : C27H34N4O7
Molecular Weight : 526.59
tert-Butyl 4-((1-(2-(2,6-Dioxopiperidin-3-yl)-1,3-dioxoisoindolin-5-yl)pyrrolidin-3-yl)oxy)piperidine-1-carboxylate
tert-Butyl 4-((1-(2-(2,6-Dioxopiperidin-3-yl)-1,3-dioxoisoindolin-5-yl)pyrrolidin-3-yl)oxy)piperidine-1-carboxylate
Catalogue No.:PA PRO 0232000130
CAS :
NA
Molecular Formula : C27H34N4O7
Molecular Weight : 526.59
tert-Butyl 4-(2-(1-(2-(2,6-Dioxopiperidin-3-yl)-1,3-dioxoisoindolin-4-yl)piperidin-4-yl)ethyl)piperazine-1-carboxylate
tert-Butyl 4-(2-(1-(2-(2,6-Dioxopiperidin-3-yl)-1,3-dioxoisoindolin-4-yl)piperidin-4-yl)ethyl)piperazine-1-carboxylate
Catalogue No.:PA PRO 0232000131
CAS :
NA
Molecular Formula : C29H39N5O6
Molecular Weight : 553.66
tert-Butyl 4-(2-(1-(2-(2,6-Dioxopiperidin-3-yl)-1,3-dioxoisoindolin-5-yl)piperidin-4-yl)ethyl)piperazine-1-carboxylate
tert-Butyl 4-(2-(1-(2-(2,6-Dioxopiperidin-3-yl)-1,3-dioxoisoindolin-5-yl)piperidin-4-yl)ethyl)piperazine-1-carboxylate
Catalogue No.:PA PRO 0232000132
CAS :
NA
Molecular Formula : C29H39N5O6
Molecular Weight : 553.66
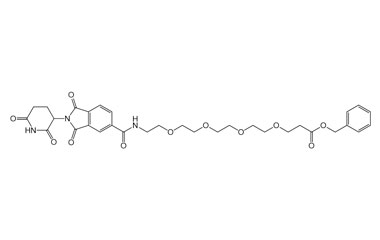
Benzyl 26-((2-(2,6-dioxopiperidin-3-yl)-1,3-dioxoisoindolin-4-yl)oxy)-3,6,9,12,15,18,21,24-octaoxahexacosanoate
Benzyl 26-((2-(2,6-dioxopiperidin-3-yl)-1,3-dioxoisoindolin-4-yl)oxy)-3,6,9,12,15,18,21,24-octaoxahexacosanoate
Catalogue No.:PA PRO 0232000133
CAS :
NA
Molecular Formula : C38H50N2O15
Molecular Weight : 774.82
Benzyl 26-((2-(2,6-dioxopiperidin-3-yl)-1,3-dioxoisoindolin-5-yl)oxy)-3,6,9,12,15,18,21,24-octaoxahexacosanoate
Benzyl 26-((2-(2,6-dioxopiperidin-3-yl)-1,3-dioxoisoindolin-5-yl)oxy)-3,6,9,12,15,18,21,24-octaoxahexacosanoate
Catalogue No.:PA PRO 0232000134
CAS :
NA
Molecular Formula : C38H50N2O15
Molecular Weight : 774.82
tert-Butyl 14-((2-(2,6-Dioxopiperidin-3-yl)-1,3-dioxoisoindolin-4-yl)amino)-3,6,9,12-tetraoxatetradecanoate
tert-Butyl 14-((2-(2,6-Dioxopiperidin-3-yl)-1,3-dioxoisoindolin-4-yl)amino)-3,6,9,12-tetraoxatetradecanoate
Catalogue No.:PA PRO 0232000135
CAS :
2143097-04-3
Molecular Formula : C27H37N3O10
Molecular Weight : 563.6
tert-Butyl 14-((2-(2,6-Dioxopiperidin-3-yl)-1,3-dioxoisoindolin-5-yl)amino)-3,6,9,12-tetraoxatetradecanoate
tert-Butyl 14-((2-(2,6-Dioxopiperidin-3-yl)-1,3-dioxoisoindolin-5-yl)amino)-3,6,9,12-tetraoxatetradecanoate
Catalogue No.:PA PRO 0232000136
CAS :
2884556-71-0
Molecular Formula : C27H37N3O10
Molecular Weight : 563.6
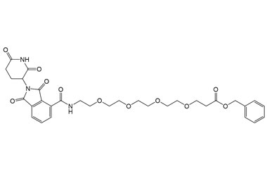
Benzyl 14-((2-(2,6-dioxopiperidin-3-yl)-1,3-dioxoisoindolin-4-yl)amino)-3,6,9,12-tetraoxatetradecanoate
Benzyl 14-((2-(2,6-dioxopiperidin-3-yl)-1,3-dioxoisoindolin-4-yl)amino)-3,6,9,12-tetraoxatetradecanoate
Catalogue No.:PA PRO 0232000137
CAS :
NA
Molecular Formula : C30H35N3O10
Molecular Weight : 597.62
Benzyl 14-((2-(2,6-dioxopiperidin-3-yl)-1,3-dioxoisoindolin-5-yl)amino)-3,6,9,12-tetraoxatetradecanoate
Benzyl 14-((2-(2,6-dioxopiperidin-3-yl)-1,3-dioxoisoindolin-5-yl)amino)-3,6,9,12-tetraoxatetradecanoate
Catalogue No.:PA PRO 0232000138
CAS :
NA
Molecular Formula : C30H35N3O10
Molecular Weight : 597.62
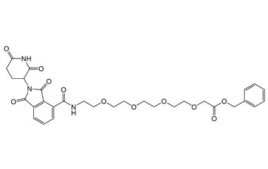
Benzyl 1-(2-(2,6-Dioxopiperidin-3-yl)-1,3-dioxoisoindolin-4-yl)-1-oxo-5,8,11,14-tetraoxa-2-azaheptadecan-17-oate
Benzyl 1-(2-(2,6-Dioxopiperidin-3-yl)-1,3-dioxoisoindolin-4-yl)-1-oxo-5,8,11,14-tetraoxa-2-azaheptadecan-17-oate
Catalogue No.:PA PRO 0232000139
CAS :
NA
Molecular Formula : C32H37N3O11
Molecular Weight : 639.66
1-Phenyl-2,5,8,11,14,17-hexaoxanonadecan-19-yl 2-(2,6-dioxopiperidin-3-yl)-1,3-dioxoisoindoline-4-carboxylate
1-Phenyl-2,5,8,11,14,17-hexaoxanonadecan-19-yl 2-(2,6-dioxopiperidin-3-yl)-1,3-dioxoisoindoline-4-carboxylate
Catalogue No.:PA PRO 0232000140
CAS :
NA
Molecular Formula : C33H40N2O12
Molecular Weight : 656.69
tert-Butyl (1-(2-(2,6-dioxopiperidin-3-yl)-1,3-dioxoisoindolin-4-yl)-1-oxo-5,8,11,14,17,20,23-heptaoxa-2-azapentacosan-25-yl)carbamate
tert-Butyl (1-(2-(2,6-dioxopiperidin-3-yl)-1,3-dioxoisoindolin-4-yl)-1-oxo-5,8,11,14,17,20,23-heptaoxa-2-azapentacosan-25-yl)carbamate
Catalogue No.:PA PRO 0232000141
CAS :
NA
Molecular Formula : C35H52N4O14
Molecular Weight : 752.82
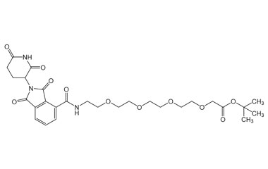
tert-Butyl (1-(2-(2,6-dioxopiperidin-3-yl)-1,3-dioxoisoindolin-4-yl)-1-oxo-5,8,11,14,17,20,23,26,29-nonaoxa-2-azahentriacontan-31-yl)carbamate
tert-Butyl (1-(2-(2,6-dioxopiperidin-3-yl)-1,3-dioxoisoindolin-4-yl)-1-oxo-5,8,11,14,17,20,23,26,29-nonaoxa-2-azahentriacontan-31-yl)carbamate
Catalogue No.:PA PRO 0232000142
CAS :
NA
Molecular Formula : C39H60N4O16
Molecular Weight : 840.92
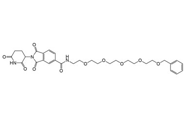
2-(2,6-Dioxopiperidin-3-yl)-1,3-dioxo-N-(1-phenyl-2,5,8,11,14-pentaoxahexadecan-16-yl)isoindoline-4-carboxamide
2-(2,6-Dioxopiperidin-3-yl)-1,3-dioxo-N-(1-phenyl-2,5,8,11,14-pentaoxahexadecan-16-yl)isoindoline-4-carboxamide
Catalogue No.:PA PRO 0232000143
CAS :
NA
Molecular Formula : C31H37N3O10
Molecular Weight : 611.65
1-Phenyl-2,5,8,11,14,17,20,23,26-nonaoxaoctacosan-28-yl 2-(2,6-dioxopiperidin-3-yl)-1,3-dioxoisoindoline-4-carboxylate
1-Phenyl-2,5,8,11,14,17,20,23,26-nonaoxaoctacosan-28-yl 2-(2,6-dioxopiperidin-3-yl)-1,3-dioxoisoindoline-4-carboxylate
Catalogue No.:PA PRO 0232000144
CAS :
NA
Molecular Formula : C39H52N2O15
Molecular Weight : 788.84
tert-Butyl 1-(2-(2,6-Dioxopiperidin-3-yl)-1,3-dioxoisoindolin-4-yl)-1-oxo-5,8,11,14,17-pentaoxa-2-azaicosan-20-oate
tert-Butyl 1-(2-(2,6-Dioxopiperidin-3-yl)-1,3-dioxoisoindolin-4-yl)-1-oxo-5,8,11,14,17-pentaoxa-2-azaicosan-20-oate
Catalogue No.:PA PRO 0232000145
CAS :
NA
Molecular Formula : C31H43N3O12
Molecular Weight : 649.69
tert-Butyl 3-((1-(2-(2,6-Dioxopiperidin-3-yl)-1,3-dioxoisoindoline-4-carbonyl)piperidin-4-yl)oxy)pyrrolidine-1-carboxylate
tert-Butyl 3-((1-(2-(2,6-Dioxopiperidin-3-yl)-1,3-dioxoisoindoline-4-carbonyl)piperidin-4-yl)oxy)pyrrolidine-1-carboxylate
Catalogue No.:PA PRO 0232000146
CAS :
NA
Molecular Formula : C28H34N4O8
Molecular Weight : 554.6
tert-Butyl 4-((1-(2-(2,6-Dioxopiperidin-3-yl)-1,3-dioxoisoindoline-4-carbonyl)piperidin-4-yl)oxy)piperidine-1-carboxylate
tert-Butyl 4-((1-(2-(2,6-Dioxopiperidin-3-yl)-1,3-dioxoisoindoline-4-carbonyl)piperidin-4-yl)oxy)piperidine-1-carboxylate
Catalogue No.:PA PRO 0232000147
CAS :
NA
Molecular Formula : C29H36N4O8
Molecular Weight : 568.63
tert-Butyl (1-((1-(2-(2,6-Dioxopiperidin-3-yl)-1,3-dioxoisoindoline-4-carbonyl)piperidin-4-yl)methyl)piperidin-4-yl)carbamate
tert-Butyl (1-((1-(2-(2,6-Dioxopiperidin-3-yl)-1,3-dioxoisoindoline-4-carbonyl)piperidin-4-yl)methyl)piperidin-4-yl)carbamate
Catalogue No.:PA PRO 0232000148
CAS :
NA
Molecular Formula : C30H39N5O7
Molecular Weight : 581.67
tert-Butyl (1-(1-(2-(2,6-Dioxopiperidin-3-yl)-1,3-dioxoisoindoline-4-carbonyl)piperidin-4-yl)azetidin-3-yl)carbamate
tert-Butyl (1-(1-(2-(2,6-Dioxopiperidin-3-yl)-1,3-dioxoisoindoline-4-carbonyl)piperidin-4-yl)azetidin-3-yl)carbamate
Catalogue No.:PA PRO 0232000149
CAS :
NA
Molecular Formula : C27H33N5O7
Molecular Weight : 539.59
tert-Butyl (1'-(2-(2,6-Dioxopiperidin-3-yl)-1,3-dioxoisoindoline-4-carbonyl)-[1,4'-bipiperidin]-4-yl)carbamate
tert-Butyl (1'-(2-(2,6-Dioxopiperidin-3-yl)-1,3-dioxoisoindoline-4-carbonyl)-[1,4'-bipiperidin]-4-yl)carbamate
Catalogue No.:PA PRO 0232000150
CAS :
NA
Molecular Formula : C29H37N5O7
Molecular Weight : 567.64
tert-Butyl 4-(2-(2,6-Dioxopiperidin-3-yl)-1,3-dioxoisoindoline-4-carboxamido)-[1,4'-bipiperidine]-1'-carboxylate
tert-Butyl 4-(2-(2,6-Dioxopiperidin-3-yl)-1,3-dioxoisoindoline-4-carboxamido)-[1,4'-bipiperidine]-1'-carboxylate
Catalogue No.:PA PRO 0232000151
CAS :
NA
Molecular Formula : C29H37N5O7
Molecular Weight : 567.64
tert-Butyl 3-(4-(2-(2,6-Dioxopiperidin-3-yl)-1,3-dioxoisoindoline-4-carbonyl)piperazin-1-yl)azetidine-1-carboxylate
tert-Butyl 3-(4-(2-(2,6-Dioxopiperidin-3-yl)-1,3-dioxoisoindoline-4-carbonyl)piperazin-1-yl)azetidine-1-carboxylate
Catalogue No.:PA PRO 0232000152
CAS :
NA
Molecular Formula : C26H31N5O7
Molecular Weight : 525.56
tert-Butyl 4-(4-(2-(2,6-Dioxopiperidin-3-yl)-1,3-dioxoisoindoline-4-carbonyl)piperazin-1-yl)piperidine-1-carboxylate
tert-Butyl 4-(4-(2-(2,6-Dioxopiperidin-3-yl)-1,3-dioxoisoindoline-4-carbonyl)piperazin-1-yl)piperidine-1-carboxylate
Catalogue No.:PA PRO 0232000153
CAS :
NA
Molecular Formula : C28H35N5O7
Molecular Weight : 553.62
tert-Butyl 4-(1-(2-(2,6-Dioxopiperidin-3-yl)-1,3-dioxoisoindoline-4-carbonyl)piperidin-4-yl)piperazine-1-carboxylate
tert-Butyl 4-(1-(2-(2,6-Dioxopiperidin-3-yl)-1,3-dioxoisoindoline-4-carbonyl)piperidin-4-yl)piperazine-1-carboxylate
Catalogue No.:PA PRO 0232000154
CAS :
NA
Molecular Formula : C28H35N5O7
Molecular Weight : 553.62
tert-Butyl 3-((4-(2-(2,6-Dioxopiperidin-3-yl)-1,3-dioxoisoindoline-4-carbonyl)piperazin-1-yl)methyl)pyrrolidine-1-carboxylate
tert-Butyl 3-((4-(2-(2,6-Dioxopiperidin-3-yl)-1,3-dioxoisoindoline-4-carbonyl)piperazin-1-yl)methyl)pyrrolidine-1-carboxylate
Catalogue No.:PA PRO 0232000155
CAS :
NA
Molecular Formula : C28H35N5O7
Molecular Weight : 553.62
tert-Butyl 4-((1-(2-(2,6-Dioxopiperidin-3-yl)-1,3-dioxoisoindoline-4-carbonyl)pyrrolidin-3-yl)oxy)piperidine-1-carboxylate
tert-Butyl 4-((1-(2-(2,6-Dioxopiperidin-3-yl)-1,3-dioxoisoindoline-4-carbonyl)pyrrolidin-3-yl)oxy)piperidine-1-carboxylate
Catalogue No.:PA PRO 0232000156
CAS :
NA
Molecular Formula : C28H34N4O8
Molecular Weight : 554.6
tert-Butyl 4-(2-(1-(2-(2,6-Dioxopiperidin-3-yl)-1,3-dioxoisoindoline-4-carbonyl)piperidin-4-yl)ethyl)piperazine-1-carboxylate
tert-Butyl 4-(2-(1-(2-(2,6-Dioxopiperidin-3-yl)-1,3-dioxoisoindoline-4-carbonyl)piperidin-4-yl)ethyl)piperazine-1-carboxylate
Catalogue No.:PA PRO 0232000157
CAS :
NA
Molecular Formula : C30H39N5O7
Molecular Weight : 581.67
3-Oxo-1-phenyl-2,5,8,11,14,17,20,23,26-nonaoxaoctacosan-28-yl 2-(2,6-dioxopiperidin-3-yl)-1,3-dioxoisoindoline-4-carboxylate
3-Oxo-1-phenyl-2,5,8,11,14,17,20,23,26-nonaoxaoctacosan-28-yl 2-(2,6-dioxopiperidin-3-yl)-1,3-dioxoisoindoline-4-carboxylate
Catalogue No.:PA PRO 0232000158
CAS :
NA
Molecular Formula : C39H50N2O16
Molecular Weight : 802.83
tert-Butyl 1-(2-(2,6-Dioxopiperidin-3-yl)-1,3-dioxoisoindolin-4-yl)-1-oxo-5,8,11,14-tetraoxa-2-azahexadecan-16-oate
tert-Butyl 1-(2-(2,6-Dioxopiperidin-3-yl)-1,3-dioxoisoindolin-4-yl)-1-oxo-5,8,11,14-tetraoxa-2-azahexadecan-16-oate
Catalogue No.:PA PRO 0232000159
CAS :
NA
Molecular Formula : C28H37N3O11
Molecular Weight : 591.61
Benzyl 1-(2-(2,6-dioxopiperidin-3-yl)-1,3-dioxoisoindolin-4-yl)-1-oxo-5,8,11,14-tetraoxa-2-azahexadecan-16-oate
Benzyl 1-(2-(2,6-dioxopiperidin-3-yl)-1,3-dioxoisoindolin-4-yl)-1-oxo-5,8,11,14-tetraoxa-2-azahexadecan-16-oate
Catalogue No.:PA PRO 0232000160
CAS :
NA
Molecular Formula : C31H35N3O11
Molecular Weight : 625.63
Benzyl 1-(2-(2,6-Dioxopiperidin-3-yl)-1,3-dioxoisoindolin-5-yl)-1-oxo-5,8,11,14-tetraoxa-2-azaheptadecan-17-oate
Benzyl 1-(2-(2,6-Dioxopiperidin-3-yl)-1,3-dioxoisoindolin-5-yl)-1-oxo-5,8,11,14-tetraoxa-2-azaheptadecan-17-oate
Catalogue No.:PA PRO 0232000161
CAS :
NA
Molecular Formula : C32H37N3O11
Molecular Weight : 639.66
tert-Butyl (1-(2-(2,6-dioxopiperidin-3-yl)-1,3-dioxoisoindolin-5-yl)-1-oxo-5,8,11,14,17,20,23-heptaoxa-2-azapentacosan-25-yl)carbamate
tert-Butyl (1-(2-(2,6-dioxopiperidin-3-yl)-1,3-dioxoisoindolin-5-yl)-1-oxo-5,8,11,14,17,20,23-heptaoxa-2-azapentacosan-25-yl)carbamate
Catalogue No.:PA PRO 0232000162
CAS :
NA
Molecular Formula : C35H52N4O14
Molecular Weight : 752.82
tert-Butyl (1-(2-(2,6-dioxopiperidin-3-yl)-1,3-dioxoisoindolin-5-yl)-1-oxo-5,8,11,14,17,20,23,26,29-nonaoxa-2-azahentriacontan-31-yl)carbamate
tert-Butyl (1-(2-(2,6-dioxopiperidin-3-yl)-1,3-dioxoisoindolin-5-yl)-1-oxo-5,8,11,14,17,20,23,26,29-nonaoxa-2-azahentriacontan-31-yl)carbamate
Catalogue No.:PA PRO 0232000163
CAS :
NA
Molecular Formula : C39H60N4O16
Molecular Weight : 840.92
2-(2,6-Dioxopiperidin-3-yl)-1,3-dioxo-N-(1-phenyl-2,5,8,11,14-pentaoxahexadecan-16-yl)isoindoline-5-carboxamide
2-(2,6-Dioxopiperidin-3-yl)-1,3-dioxo-N-(1-phenyl-2,5,8,11,14-pentaoxahexadecan-16-yl)isoindoline-5-carboxamide
Catalogue No.:PA PRO 0232000164
CAS :
NA
Molecular Formula : C31H37N3O10
Molecular Weight : 611.65
tert-Butyl 1-(2-(2,6-Dioxopiperidin-3-yl)-1,3-dioxoisoindolin-5-yl)-1-oxo-5,8,11,14,17-pentaoxa-2-azaicosan-20-oate
tert-Butyl 1-(2-(2,6-Dioxopiperidin-3-yl)-1,3-dioxoisoindolin-5-yl)-1-oxo-5,8,11,14,17-pentaoxa-2-azaicosan-20-oate
Catalogue No.:PA PRO 0232000165
CAS :
NA
Molecular Formula : C31H43N3O12
Molecular Weight : 649.69
tert-Butyl 3-((1-(2-(2,6-Dioxopiperidin-3-yl)-1,3-dioxoisoindoline-5-carbonyl)piperidin-4-yl)oxy)pyrrolidine-1-carboxylate
tert-Butyl 3-((1-(2-(2,6-Dioxopiperidin-3-yl)-1,3-dioxoisoindoline-5-carbonyl)piperidin-4-yl)oxy)pyrrolidine-1-carboxylate
Catalogue No.:PA PRO 0232000166
CAS :
NA
Molecular Formula : C28H34N4O8
Molecular Weight : 554.6
tert-Butyl 4-((1-(2-(2,6-Dioxopiperidin-3-yl)-1,3-dioxoisoindoline-5-carbonyl)piperidin-4-yl)oxy)piperidine-1-carboxylate
tert-Butyl 4-((1-(2-(2,6-Dioxopiperidin-3-yl)-1,3-dioxoisoindoline-5-carbonyl)piperidin-4-yl)oxy)piperidine-1-carboxylate
Catalogue No.:PA PRO 0232000167
CAS :
NA
Molecular Formula : C29H36N4O8
Molecular Weight : 568.63
tert-Butyl (1-((1-(2-(2,6-Dioxopiperidin-3-yl)-1,3-dioxoisoindoline-5-carbonyl)piperidin-4-yl)methyl)piperidin-4-yl)carbamate
tert-Butyl (1-((1-(2-(2,6-Dioxopiperidin-3-yl)-1,3-dioxoisoindoline-5-carbonyl)piperidin-4-yl)methyl)piperidin-4-yl)carbamate
Catalogue No.:PA PRO 0232000168
CAS :
NA
Molecular Formula : C30H39N5O7
Molecular Weight : 581.67
tert-Butyl (1-(1-(2-(2,6-Dioxopiperidin-3-yl)-1,3-dioxoisoindoline-5-carbonyl)piperidin-4-yl)azetidin-3-yl)carbamate
tert-Butyl (1-(1-(2-(2,6-Dioxopiperidin-3-yl)-1,3-dioxoisoindoline-5-carbonyl)piperidin-4-yl)azetidin-3-yl)carbamate
Catalogue No.:PA PRO 0232000169
CAS :
NA
Molecular Formula : C27H33N5O7
Molecular Weight : 539.59
tert-Butyl (1'-(2-(2,6-Dioxopiperidin-3-yl)-1,3-dioxoisoindoline-5-carbonyl)-[1,4'-bipiperidin]-4-yl)carbamate
tert-Butyl (1'-(2-(2,6-Dioxopiperidin-3-yl)-1,3-dioxoisoindoline-5-carbonyl)-[1,4'-bipiperidin]-4-yl)carbamate
Catalogue No.:PA PRO 0232000170
CAS :
NA
Molecular Formula : C29H37N5O7
Molecular Weight : 567.64
tert-Butyl 4-(2-(2,6-Dioxopiperidin-3-yl)-1,3-dioxoisoindoline-5-carboxamido)-[1,4'-bipiperidine]-1'-carboxylate
tert-Butyl 4-(2-(2,6-Dioxopiperidin-3-yl)-1,3-dioxoisoindoline-5-carboxamido)-[1,4'-bipiperidine]-1'-carboxylate
Catalogue No.:PA PRO 0232000171
CAS :
NA
Molecular Formula : C29H37N5O7
Molecular Weight : 567.64
tert-Butyl 3-(4-(2-(2,6-Dioxopiperidin-3-yl)-1,3-dioxoisoindoline-5-carbonyl)piperazin-1-yl)azetidine-1-carboxylate
tert-Butyl 3-(4-(2-(2,6-Dioxopiperidin-3-yl)-1,3-dioxoisoindoline-5-carbonyl)piperazin-1-yl)azetidine-1-carboxylate
Catalogue No.:PA PRO 0232000172
CAS :
NA
Molecular Formula : C26H31N5O7
Molecular Weight : 525.56
tert-Butyl 4-(4-(2-(2,6-dioxopiperidin-3-yl)-1,3-dioxoisoindoline-5-carbonyl)piperazin-1-yl)piperidine-1-carboxylate
tert-Butyl 4-(4-(2-(2,6-dioxopiperidin-3-yl)-1,3-dioxoisoindoline-5-carbonyl)piperazin-1-yl)piperidine-1-carboxylate
Catalogue No.:PA PRO 0232000173
CAS :
NA
Molecular Formula : C28H35N5O7
Molecular Weight : 553.62
tert-Butyl 4-(1-(2-(2,6-dioxopiperidin-3-yl)-1,3-dioxoisoindoline-5-carbonyl)piperidin-4-yl)piperazine-1-carboxylate
tert-Butyl 4-(1-(2-(2,6-dioxopiperidin-3-yl)-1,3-dioxoisoindoline-5-carbonyl)piperidin-4-yl)piperazine-1-carboxylate
Catalogue No.:PA PRO 0232000174
CAS :
NA
Molecular Formula : C28H35N5O7
Molecular Weight : 553.62
