thiocolchicoside and its Impurities
A competitive GABAA receptor antagonist and a glycine receptor antagonist, Thiocolchicoside is a muscle relaxant with anti-inflammatory and analgesic effects.Reference standards of Thiocolchicoside API,and its pharmacopeial, non pharmacopeial impurities, and stable isotopes are listed below.
(S)-N-(3-Hydroxy-1,2-dimethoxy-10-(methylthio)-9-oxo-5,6,7,9-tetrahydrobenzo[a]heptalen-7-yl)formamide
(S)-N-(3-Hydroxy-1,2-dimethoxy-10-(methylthio)-9-oxo-5,6,7,9-tetrahydrobenzo[a]heptalen-7-yl)formamide
Catalogue No.:PAI 20 014031
CAS :
113092-25-4
Molecular Formula : C20H21NO5S
Molecular Weight : 387.45
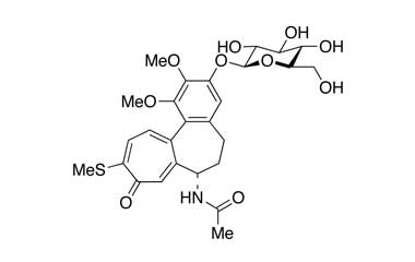
N-((7S)-1,2-Dihydroxy-10-(methylthio)-9-oxo-3-(((2S,4S,5S,6R)-3,4,5-trihydroxy-6-(hydroxymethyl)tetrahydro-2H-pyran-2-yl)oxy)-5,6,7,9-tetrahydrobenzo[a]heptalen-7-yl)acetamide
N-((7S)-1,2-Dihydroxy-10-(methylthio)-9-oxo-3-(((2S,4S,5S,6R)-3,4,5-trihydroxy-6-(hydroxymethyl)tetrahydro-2H-pyran-2-yl)oxy)-5,6,7,9-tetrahydrobenzo[a]heptalen-7-yl)acetamide
Catalogue No.:PAI 20 014032
CAS :
NA
Molecular Formula : C25H29NO10S
Molecular Weight : 535.56
N-(3-Hydroxy-1,2-dimethoxy-10-(methylthio)-9-oxo-5,6,7,9-tetrahydrobenzo[a]heptalen-7-yl)formamide
N-(3-Hydroxy-1,2-dimethoxy-10-(methylthio)-9-oxo-5,6,7,9-tetrahydrobenzo[a]heptalen-7-yl)formamide
Catalogue No.:PA 20 0691000
CAS :
1268128-54-6
Molecular Formula : C20H21NO5S
Molecular Weight : 387.45
N-(3-Hydroxy-1,2-dimethoxy-10-(methylthio)-9-oxo-5,6,7,9-tetrahydrobenzo[a]heptalen-7-yl)acetamide
N-(3-Hydroxy-1,2-dimethoxy-10-(methylthio)-9-oxo-5,6,7,9-tetrahydrobenzo[a]heptalen-7-yl)acetamide
Catalogue No.:PAI 20 014033
CAS :
181711-08-0
Molecular Formula : C21H23NO5S
Molecular Weight : 401.48
N-(2,3-Dihydroxy-1-methoxy-10-(methylthio)-9-oxo-5,6,7,9-tetrahydrobenzo[a]heptalen-7-yl)acetamide
N-(2,3-Dihydroxy-1-methoxy-10-(methylthio)-9-oxo-5,6,7,9-tetrahydrobenzo[a]heptalen-7-yl)acetamide
Catalogue No.:PAI 20 014034
CAS :
NA
Molecular Formula : C20H21NO5S
Molecular Weight : 387.45
N-(1,3-Dihydroxy-2-methoxy-10-(methylthio)-9-oxo-5,6,7,9-tetrahydrobenzo[a]heptalen-7-yl)acetamide
N-(1,3-Dihydroxy-2-methoxy-10-(methylthio)-9-oxo-5,6,7,9-tetrahydrobenzo[a]heptalen-7-yl)acetamide
Catalogue No.:PAI 20 014035
CAS :
NA
Molecular Formula : C20H21NO5S
Molecular Weight : 387.45
N-((R)-1,2-Dimethoxy-10-(methylthio)-9-oxo-3-(((2S,3R,4S,5S,6R)-3,4,5-trihydroxy-6-(hydroxymethyl)tetrahydro-2H-pyran-2-yl)oxy)-5,6,7,9-tetrahydrobenzo[a]heptalen-7-yl)acetamide
N-((R)-1,2-Dimethoxy-10-(methylthio)-9-oxo-3-(((2S,3R,4S,5S,6R)-3,4,5-trihydroxy-6-(hydroxymethyl)tetrahydro-2H-pyran-2-yl)oxy)-5,6,7,9-tetrahydrobenzo[a]heptalen-7-yl)acetamide
Catalogue No.:PA 20 0691002
CAS :
NA
Molecular Formula : C27H33NO10S
Molecular Weight : 563.62
N-((S)-1,2-Dimethoxy-10-(methylsulfonyl)-9-oxo-3-(((2S,3R,4S,5S,6R)-3,4,5-trihydroxy-6-(hydroxymethyl)tetrahydro-2H-pyran-2-yl)oxy)-5,6,7,9-tetrahydrobenzo[a]heptalen-7-yl)acetamide
N-((S)-1,2-Dimethoxy-10-(methylsulfonyl)-9-oxo-3-(((2S,3R,4S,5S,6R)-3,4,5-trihydroxy-6-(hydroxymethyl)tetrahydro-2H-pyran-2-yl)oxy)-5,6,7,9-tetrahydrobenzo[a]heptalen-7-yl)acetamide
Catalogue No.:PA 20 0691004
CAS :
1359973-80-0
Molecular Formula : C27H33NO12S
Molecular Weight : 595.62

