ticagrelor and its Impurities
A P2Y12 receptor antagonist drug, used as a platelet aggregation inhibitor. Ticagrelor is a nucleoside analogue used in the treatment of heart attacks, myocardial infarction, and other pulmonary diseases. Reference standards of Ticagrelor API,and its pharmacopeial, non pharmacopeial impurities, and stable isotopes are listed below.


2-(((3aR,4S,6R,6aS)-6-(7-Chloro-5-(propylthio)-3H-[1,2,3]triazolo[4,5-d]pyrimidin-3-yl)-2,2-dimethyltetrahydro-4H-cyclopenta[d][1,3]dioxol-4-yl)oxy)ethan-1-ol
2-(((3aR,4S,6R,6aS)-6-(7-Chloro-5-(propylthio)-3H-[1,2,3]triazolo[4,5-d]pyrimidin-3-yl)-2,2-dimethyltetrahydro-4H-cyclopenta[d][1,3]dioxol-4-yl)oxy)ethan-1-ol
Catalogue No.:PA 47 0111105
CAS :
376608-75-2
Molecular Formula : C17H24ClN5O4S
Molecular Weight : 429.92


N-(5-Amino-6-chloro-2-(propylsulfinyl)pyrimidin-4-yl)-N-((1R,2S,3S,4S)-2,3-dihydroxy-4-(2-hydroxyethoxy)cyclopentyl)nitrous amide
N-(5-Amino-6-chloro-2-(propylsulfinyl)pyrimidin-4-yl)-N-((1R,2S,3S,4S)-2,3-dihydroxy-4-(2-hydroxyethoxy)cyclopentyl)nitrous amide
Catalogue No.:PA 47 0111107
CAS :
NA
Molecular Formula : C14H22ClN5O6S
Molecular Weight : 423.87


2-(((3aS,4S,6S,6aR)-6-Amino-2,2-dimethyltetrahydro-4H-cyclopenta[d][1,3]dioxol-4-yl)oxy)ethan-1-ol
2-(((3aS,4S,6S,6aR)-6-Amino-2,2-dimethyltetrahydro-4H-cyclopenta[d][1,3]dioxol-4-yl)oxy)ethan-1-ol
Catalogue No.:PA 47 0111108
CAS :
NA
Molecular Formula : C10H19NO4
Molecular Weight : 217.27


2-(((3aS,4S,6R,6aR)-6-Amino-2,2-dimethyltetrahydro-4H-cyclopenta[d][1,3]dioxol-4-yl)oxy)ethan-1-ol
2-(((3aS,4S,6R,6aR)-6-Amino-2,2-dimethyltetrahydro-4H-cyclopenta[d][1,3]dioxol-4-yl)oxy)ethan-1-ol
Catalogue No.:PA 47 0111109
CAS :
2165799-36-8
Molecular Formula : C10H19NO4
Molecular Weight : 217.27


N-(2-(3,4-Difluorophenyl)cyclopropyl)-N-(5-(propylthio)-3-((1R,2S,3S,4R)-2,3,4-trihydroxycyclopentyl)-3H-[1,2,3]triazolo[4,5-d]pyrimidin-7-yl)nitrous Amide
N-(2-(3,4-Difluorophenyl)cyclopropyl)-N-(5-(propylthio)-3-((1R,2S,3S,4R)-2,3,4-trihydroxycyclopentyl)-3H-[1,2,3]triazolo[4,5-d]pyrimidin-7-yl)nitrous Amide
Catalogue No.:PA 47 0111114
CAS :
NA
Molecular Formula : C21H23F2N7O4S
Molecular Weight : 507.52


(1S,2S,3R,5S)-3-(7-((3-(3,4-Difluorophenyl)-4,5-dihydroisoxazol-5-yl)amino)-5-(propylthio)-3H-[1,2,3]triazolo[4,5-d]pyrimidin-3-yl)-5-(2-hydroxyethoxy)cyclopentane-1,2-diol
(1S,2S,3R,5S)-3-(7-((3-(3,4-Difluorophenyl)-4,5-dihydroisoxazol-5-yl)amino)-5-(propylthio)-3H-[1,2,3]triazolo[4,5-d]pyrimidin-3-yl)-5-(2-hydroxyethoxy)cyclopentane-1,2-diol
Catalogue No.:PA 47 0111117
CAS :
NA
Molecular Formula : C23H27F2N7O5S
Molecular Weight : 551.57


(1S,2S,3S,5S)-3-(7-(((1R,2S)-2-(3,4-Difluorophenyl)cyclopropyl)amino)-5-(propylthio)-3H-[1,2,3]triazolo[4,5-d]pyrimidin-3-yl)-5-(2-hydroxyethoxy)cyclopentane-1,2-diol
(1S,2S,3S,5S)-3-(7-(((1R,2S)-2-(3,4-Difluorophenyl)cyclopropyl)amino)-5-(propylthio)-3H-[1,2,3]triazolo[4,5-d]pyrimidin-3-yl)-5-(2-hydroxyethoxy)cyclopentane-1,2-diol
Catalogue No.:PA 47 0111119
CAS :
2880337-23-3
Molecular Formula : C23H28F2N6O4S
Molecular Weight : 522.57


(1S,2S,3S,5R)-3-(7-(((1R,2S)-2-(3,4-Difluorophenyl)cyclopropyl)amino)-5-(propylthio)-3H-[1,2,3]triazolo[4,5-d]pyrimidin-3-yl)-5-(2-hydroxyethoxy)cyclopentane-1,2-diol
(1S,2S,3S,5R)-3-(7-(((1R,2S)-2-(3,4-Difluorophenyl)cyclopropyl)amino)-5-(propylthio)-3H-[1,2,3]triazolo[4,5-d]pyrimidin-3-yl)-5-(2-hydroxyethoxy)cyclopentane-1,2-diol
Catalogue No.:PA 47 0111120
CAS :
2880337-24-4
Molecular Formula : C23H28F2N6O4S
Molecular Weight : 522.57


2-(((3aR,4R,6S,6aS)-6-Amino-2,2-dimethyltetrahydro-4H-cyclopenta[d][1,3]dioxol-4-yl)oxy)ethan-1-ol
2-(((3aR,4R,6S,6aS)-6-Amino-2,2-dimethyltetrahydro-4H-cyclopenta[d][1,3]dioxol-4-yl)oxy)ethan-1-ol
Catalogue No.:PA 47 0111121
CAS :
1816939-47-5
Molecular Formula : C10H19NO4
Molecular Weight : 217.27


(1S,2R,3S,5R)-3-(2-(tert-Butoxy)ethoxy)-5-(7-(((1R,2S)-2-(3,4-difluorophenyl)cyclopropyl)amino)-5-(propylthio)-3H-[1,2,3]triazolo[4,5-d]pyrimidin-3-yl)cyclopentane-1,2-diol
(1S,2R,3S,5R)-3-(2-(tert-Butoxy)ethoxy)-5-(7-(((1R,2S)-2-(3,4-difluorophenyl)cyclopropyl)amino)-5-(propylthio)-3H-[1,2,3]triazolo[4,5-d]pyrimidin-3-yl)cyclopentane-1,2-diol
Catalogue No.:PA 47 0111122
CAS :
NA
Molecular Formula : C27H36F2N6O4S
Molecular Weight : 578.68


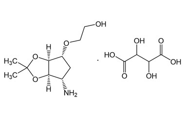
2-(((3aR,4R,6S,6aS)-6-Amino-2,2-dimethyltetrahydro-4H-cyclopenta[d][1,3]dioxol-4-yl)oxy)ethan-1-ol (2S,3S)-2,3-dihydroxysuccinate
2-(((3aR,4R,6S,6aS)-6-Amino-2,2-dimethyltetrahydro-4H-cyclopenta[d][1,3]dioxol-4-yl)oxy)ethan-1-ol (2S,3S)-2,3-dihydroxysuccinate
Catalogue No.:PA 47 0111123
CAS :
NA
Molecular Formula : C14H25NO10
Molecular Weight : 367.35


rel-Benzyl ((3aR,4R,6S,6aS)-6-(2-hydroxyethoxy)-2,2-dimethyltetrahydro-4H-cyclopenta[d][1,3]dioxol-4-yl)carbamate
rel-Benzyl ((3aR,4R,6S,6aS)-6-(2-hydroxyethoxy)-2,2-dimethyltetrahydro-4H-cyclopenta[d][1,3]dioxol-4-yl)carbamate
Catalogue No.:PA 47 0111124
CAS :
1423768-24-4
Molecular Formula : C18H25NO6
Molecular Weight : 351.4


2-(((3aR,4S,6R,6aS)-6-((5-Amino-6-(((3aR,4S,6R,6aS)-6-(2-hydroxyethoxy)-2,2-dimethyltetrahydro-4H-cyclopenta[d][1,3]dioxol-4-yl)amino)-2-(propylthio)pyrimidin-4-yl)amino)-2,2-dimethyltetrahydro-4H-cyclopenta[d][1,3]dioxol-4-yl)oxy)ethan-1-ol
2-(((3aR,4S,6R,6aS)-6-((5-Amino-6-(((3aR,4S,6R,6aS)-6-(2-hydroxyethoxy)-2,2-dimethyltetrahydro-4H-cyclopenta[d][1,3]dioxol-4-yl)amino)-2-(propylthio)pyrimidin-4-yl)amino)-2,2-dimethyltetrahydro-4H-cyclopenta[d][1,3]dioxol-4-yl)oxy)ethan-1-ol
Catalogue No.:PA 47 0111128
CAS :
NA
Molecular Formula : C27H45N5O8S
Molecular Weight : 599.74


N4-((3aS,4R,6S,6aR)-6-(2-((5-Amino-6-chloro-2-(propylthio)pyrimidin-4-yl)oxy)ethoxy)-2,2-dimethyltetrahydro-4H-cyclopenta[d][1,3]dioxol-4-yl)-6-chloro-2-(propylthio)pyrimidine-4,5-diamine
N4-((3aS,4R,6S,6aR)-6-(2-((5-Amino-6-chloro-2-(propylthio)pyrimidin-4-yl)oxy)ethoxy)-2,2-dimethyltetrahydro-4H-cyclopenta[d][1,3]dioxol-4-yl)-6-chloro-2-(propylthio)pyrimidine-4,5-diamine
Catalogue No.:PA 47 0111129
CAS :
2378409-03-9
Molecular Formula : C24H35Cl2N7O4S2
Molecular Weight : 620.61


rel-(1R,2R,3S,5R)-3-(7-Amino-5-(propylthio)-1,2-dihydro-3H-[1,2,3]triazolo[4,5-d]pyrimidin-3-yl)-5-(2-(2-(3,4-difluorophenyl)cyclopropoxy)ethoxy)cyclopentane-1,2-diol
rel-(1R,2R,3S,5R)-3-(7-Amino-5-(propylthio)-1,2-dihydro-3H-[1,2,3]triazolo[4,5-d]pyrimidin-3-yl)-5-(2-(2-(3,4-difluorophenyl)cyclopropoxy)ethoxy)cyclopentane-1,2-diol
Catalogue No.:PA 47 0111135
CAS :
2714888-22-7
Molecular Formula : C23H30F2N6O4S
Molecular Weight : 524.59


2-(((3aR,4S,6R,6aS)-6-Amino-2,2-dimethyltetrahydro-4H-cyclopenta[d][1,3]dioxol-4-yl)oxy)ethan-1-ol Oxalate
2-(((3aR,4S,6R,6aS)-6-Amino-2,2-dimethyltetrahydro-4H-cyclopenta[d][1,3]dioxol-4-yl)oxy)ethan-1-ol Oxalate
Catalogue No.:PA 47 0111136
CAS :
1215268-15-7
Molecular Formula : C10H19NO4 . (C2H2O4)x
Molecular Weight : 217.27 + (90.03)x


(1R,2R,3S,5R)-3-((3-((1R,2S)-2-(3,4-Difluorophenyl)cyclopropyl)-5-(propylthio)-3H-[1,2,3]triazolo[4,5-d]pyrimidin-7-yl)amino)-5-(2-hydroxyethoxy)cyclopentane-1,2-diol
(1R,2R,3S,5R)-3-((3-((1R,2S)-2-(3,4-Difluorophenyl)cyclopropyl)-5-(propylthio)-3H-[1,2,3]triazolo[4,5-d]pyrimidin-7-yl)amino)-5-(2-hydroxyethoxy)cyclopentane-1,2-diol
Catalogue No.:PA 47 0111137
CAS :
NA
Molecular Formula : C23H28F2N6O4S
Molecular Weight : 522.57


(1R,2R,3S,5R)-3-((3-((1S,2R)-2-(3,4-Difluorophenyl)cyclopropyl)-5-(propylthio)-3H-[1,2,3]triazolo[4,5-d]pyrimidin-7-yl)amino)-5-(2-hydroxyethoxy)cyclopentane-1,2-diol
(1R,2R,3S,5R)-3-((3-((1S,2R)-2-(3,4-Difluorophenyl)cyclopropyl)-5-(propylthio)-3H-[1,2,3]triazolo[4,5-d]pyrimidin-7-yl)amino)-5-(2-hydroxyethoxy)cyclopentane-1,2-diol
Catalogue No.:PA 47 0111138
CAS :
NA
Molecular Formula : C23H28F2N6O4S
Molecular Weight : 522.57


(1S,2S,3R,5S)-3-((3-((1S,2R)-2-(3,4-Difluorophenyl)cyclopropyl)-5-(propylthio)-3H-[1,2,3]triazolo[4,5-d]pyrimidin-7-yl)amino)-5-(2-hydroxyethoxy)cyclopentane-1,2-diol
(1S,2S,3R,5S)-3-((3-((1S,2R)-2-(3,4-Difluorophenyl)cyclopropyl)-5-(propylthio)-3H-[1,2,3]triazolo[4,5-d]pyrimidin-7-yl)amino)-5-(2-hydroxyethoxy)cyclopentane-1,2-diol
Catalogue No.:PA 47 0111139
CAS :
NA
Molecular Formula : C23H28F2N6O4S
Molecular Weight : 522.57


2-(((3aS,4R,6S,6aR)-6-(7-(((1R,2S)-2-(3,4-difluorophenyl)cyclopropyl)amino)-5-(propylthio)-3H-[1,2,3]triazolo[4,5-d]pyrimidin-3-yl)-2,2-dimethyltetrahydro-4H-cyclopenta[d][1,3]dioxol-4-yl)oxy)ethan-1-ol
2-(((3aS,4R,6S,6aR)-6-(7-(((1R,2S)-2-(3,4-difluorophenyl)cyclopropyl)amino)-5-(propylthio)-3H-[1,2,3]triazolo[4,5-d]pyrimidin-3-yl)-2,2-dimethyltetrahydro-4H-cyclopenta[d][1,3]dioxol-4-yl)oxy)ethan-1-ol
Catalogue No.:PA 47 0111150
CAS :
2803420-77-9
Molecular Formula : C26H32F2N6O4S
Molecular Weight : 562.64


2-(((3aR,4R,6R,6aS)-6-(7-amino-5-(propylthio)-3H-[1,2,3]triazolo[4,5-d]pyrimidin-3-yl)-2,2-dimethyltetrahydro-4H-cyclopenta[d][1,3]dioxol-4-yl)oxy)ethan-1-ol
2-(((3aR,4R,6R,6aS)-6-(7-amino-5-(propylthio)-3H-[1,2,3]triazolo[4,5-d]pyrimidin-3-yl)-2,2-dimethyltetrahydro-4H-cyclopenta[d][1,3]dioxol-4-yl)oxy)ethan-1-ol
Catalogue No.:PA 47 0111151
CAS :
NA
Molecular Formula : C17H26N6O4S
Molecular Weight : 410.49


(1S,2S,3R,5S)-3-(7-(bis((1R,2S)-2-(3,4-Difluorophenyl)cyclopropyl)amino)-5-(propylthio)-3H-[1,2,3]triazolo[4,5-d]pyrimidin-3-yl)-5-(2-hydroxyethoxy)cyclopentane-1,2-diol
(1S,2S,3R,5S)-3-(7-(bis((1R,2S)-2-(3,4-Difluorophenyl)cyclopropyl)amino)-5-(propylthio)-3H-[1,2,3]triazolo[4,5-d]pyrimidin-3-yl)-5-(2-hydroxyethoxy)cyclopentane-1,2-diol
Catalogue No.:PA 47 0111152
CAS :
NA
Molecular Formula : C32H34F4N6O4S
Molecular Weight : 674.72


N-((R)-3-(3,4-Difluorophenyl)-4,5-dihydroisoxazol-5-yl)-N-(3-((1R,2S,3S,4S)-2,3-dihydroxy-4-(2-hydroxyethoxy)cyclopentyl)-5-(propylthio)-3H-[1,2,3]triazolo[4,5-d]pyrimidin-7-yl)nitrous amide
N-((R)-3-(3,4-Difluorophenyl)-4,5-dihydroisoxazol-5-yl)-N-(3-((1R,2S,3S,4S)-2,3-dihydroxy-4-(2-hydroxyethoxy)cyclopentyl)-5-(propylthio)-3H-[1,2,3]triazolo[4,5-d]pyrimidin-7-yl)nitrous amide
Catalogue No.:PA 47 0111153
CAS :
NA
Molecular Formula : C23H26F2N8O6S
Molecular Weight : 580.57


Ethyl (3-((1R,2S,3S,4S)-2,3-dihydroxy-4-(2-hydroxyethoxy)cyclopentyl)-5-(propylthio)-3H-[1,2,3]triazolo[4,5-d]pyrimidin-7-yl)glycinate
Ethyl (3-((1R,2S,3S,4S)-2,3-dihydroxy-4-(2-hydroxyethoxy)cyclopentyl)-5-(propylthio)-3H-[1,2,3]triazolo[4,5-d]pyrimidin-7-yl)glycinate
Catalogue No.:PA 47 0111155
CAS :
NA
Molecular Formula : C18H28N6O6S
Molecular Weight : 456.52


Ethyl 2-(2-(((1S,2S,3S,4R)-4-(7-amino-5-(propylthio)-3H-[1,2,3]triazolo[4,5-d]pyrimidin-3-yl)-2,3-dihydroxycyclopentyl)oxy)ethoxy)acetate
Ethyl 2-(2-(((1S,2S,3S,4R)-4-(7-amino-5-(propylthio)-3H-[1,2,3]triazolo[4,5-d]pyrimidin-3-yl)-2,3-dihydroxycyclopentyl)oxy)ethoxy)acetate
Catalogue No.:PA 47 0111156
CAS :
NA
Molecular Formula : C18H28N6O6S
Molecular Weight : 456.52


2,2'-(((3aR,3a'R,4S,4'S,6R,6aS,6'R,6a'S)-((5-Nitro-2-(propylthio)pyrimidine-4,6-diyl)bis(azanediyl))bis(2,2-dimethyltetrahydro-4H-cyclopenta[d][1,3]dioxole-6,4-diyl))bis(oxy))bis(ethan-1-ol)
2,2'-(((3aR,3a'R,4S,4'S,6R,6aS,6'R,6a'S)-((5-Nitro-2-(propylthio)pyrimidine-4,6-diyl)bis(azanediyl))bis(2,2-dimethyltetrahydro-4H-cyclopenta[d][1,3]dioxole-6,4-diyl))bis(oxy))bis(ethan-1-ol)
Catalogue No.:PA 47 0111157
CAS :
1882095-50-2
Molecular Formula : C27H43N5O10S
Molecular Weight : 629.73


2,2'-(((3aR,3a'R,4S,4'S,6R,6aS,6'R,6a'S)-((5-Amino-2-(propylthio)pyrimidine-4,6-diyl)bis(azanediyl))bis(2,2-dimethyltetrahydro-4H-cyclopenta[d][1,3]dioxole-6,4-diyl))bis(oxy))bis(ethan-1-ol)
2,2'-(((3aR,3a'R,4S,4'S,6R,6aS,6'R,6a'S)-((5-Amino-2-(propylthio)pyrimidine-4,6-diyl)bis(azanediyl))bis(2,2-dimethyltetrahydro-4H-cyclopenta[d][1,3]dioxole-6,4-diyl))bis(oxy))bis(ethan-1-ol)
Catalogue No.:PA 47 0111158
CAS :
1882095-51-3
Molecular Formula : C27H45N5O8S
Molecular Weight : 599.74


(1S,2S,3S,5R)-3-(2-Hydroxyethoxy)-5-(7-(((1R,2S)-2-phenylcyclopropyl)amino)-5-(propylthio)-3H-[1,2,3]triazolo[4,5-d]pyrimidin-3-yl)cyclopentane-1,2-diol
(1S,2S,3S,5R)-3-(2-Hydroxyethoxy)-5-(7-(((1R,2S)-2-phenylcyclopropyl)amino)-5-(propylthio)-3H-[1,2,3]triazolo[4,5-d]pyrimidin-3-yl)cyclopentane-1,2-diol
Catalogue No.:PA 47 0111159
CAS :
NA
Molecular Formula : C23H30N6O4S
Molecular Weight : 486.59