trabectedin and its Impurities
Trabectedin is used to treat cancer that has spread to other parts of the body or cannot be treated with surgery. It is an antitumor chemotherapy drug sold by Pharma Mar S.A. and Johnson and Johnson under the brand name Yondelis.Reference standards of Trabectedin API,and its pharmacopeial, non pharmacopeial impurities, and stable isotopes are listed below.
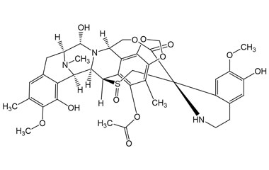
(R)-1-((((6R,6aR,7R,13S,14S,16R)-5-Acetoxy-8,14-dihydroxy-16-(hydroxymethyl)-9-methoxy-4,10,17-trimethyl-6,6a,7,13,14,16-hexahydro-12H-7,13-epiminobenzo[4,5]azocino[1,2-b][1,3]dioxolo[4,5-h]isoquinolin-6-yl)thio)methyl)-6-hydroxy-7-methoxy-1,2,3,4-tetrahydroisoquinoline-1-carboxylic Acid
(R)-1-((((6R,6aR,7R,13S,14S,16R)-5-Acetoxy-8,14-dihydroxy-16-(hydroxymethyl)-9-methoxy-4,10,17-trimethyl-6,6a,7,13,14,16-hexahydro-12H-7,13-epiminobenzo[4,5]azocino[1,2-b][1,3]dioxolo[4,5-h]isoquinolin-6-yl)thio)methyl)-6-hydroxy-7-methoxy-1,2,3,4-tetrahydroisoquinoline-1-carboxylic Acid
Catalogue No.:PA 47 0221000
CAS :
NA
Molecular Formula : C39H45N3O12S
Molecular Weight : 779.86
(7R,11S)-5-Hydroxy-4-methyl-6,7,10,11-tetrahydro-8H-7,11-epimino[1,3]dioxolo[4',5':5,6]benzo[1,2-d]oxocin-8-one
(7R,11S)-5-Hydroxy-4-methyl-6,7,10,11-tetrahydro-8H-7,11-epimino[1,3]dioxolo[4',5':5,6]benzo[1,2-d]oxocin-8-one
Catalogue No.:PA 47 0221004
CAS :
NA
Molecular Formula : C13H13NO5
Molecular Weight : 263.25
(R)-2-(((Allyloxy)carbonyl)amino)-3-(3,5-bis((tert-butyldimethylsilyl)oxy)-4-methoxyphenyl)propanoic Acid
(R)-2-(((Allyloxy)carbonyl)amino)-3-(3,5-bis((tert-butyldimethylsilyl)oxy)-4-methoxyphenyl)propanoic Acid
Catalogue No.:PA 47 0221005
CAS :
NA
Molecular Formula : C26H45NO7Si2
Molecular Weight : 539.82

