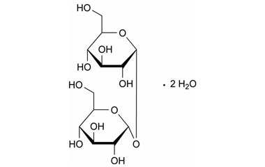
Trehalose Dihydrate and its Impurities
Trehalose used in trials studying the treatment of Oculopharyngeal Muscular Dystrophy. Trehalose is a sugar made of two glucose molecules. Reference standards of Trehalose Dihydrate API, and its pharmacopeial, non pharmacopeial impurities, and stable isotopes are listed below.
Trehalose Dihydrate - Impurity B
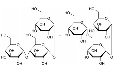
Oligosaccharides, mainly glucosyltrehalose: mixture of α-D-glucopyranosyl α-D-glucopyranosyl-(1→4)-α-D-glucopyranoside (4-O-glucosyltrehalose or α-D-maltosyl α-D-glucoside) and α-D-glucopyranosyl-(1→6)-α-D-glucopyranosyl α-D-glucopyranoside(6-O-glucosyltrehalose or α-D-isomaltosyl α-D-glucoside)
Catalogue No.:PA 20 3980020
CAS :
NA
Molecular Formula : C18H32O16
Molecular Weight : 504.44

