tulathromycin and its Impurities
Tulathromycin is used to treat bovine respiratory disease in cattle and swine respiratory disease in pigs. It is a macrolide antibiotic. It is marketed by Pfizer Inc under the tradename Draxxin.Reference standards of Tulathromycin API,and its pharmacopeial, non pharmacopeial impurities, and stable isotopes are listed below.
Benzyl ((2S,3R,4S,6R)-4-(Dimethylamino)-2-(((2R,3S,4R,5R,8R,10R,11R,12S,13S,14R)-2-ethyl-3,4,10-trihydroxy-13-(((3S,4S,6R,8R)-8-methoxy-4,8-dimethyl-1,5-dioxaspiro[2.5]octan-6-yl)oxy)-3,5,8,10,12,14-hexamethyl-15-oxo-1-oxa-6-azacyclopentadecan-11-yl)oxy)-6-methyltetrahydro-2H-pyran-3-yl) carbonate
Benzyl ((2S,3R,4S,6R)-4-(Dimethylamino)-2-(((2R,3S,4R,5R,8R,10R,11R,12S,13S,14R)-2-ethyl-3,4,10-trihydroxy-13-(((3S,4S,6R,8R)-8-methoxy-4,8-dimethyl-1,5-dioxaspiro[2.5]octan-6-yl)oxy)-3,5,8,10,12,14-hexamethyl-15-oxo-1-oxa-6-azacyclopentadecan-11-yl)oxy)-6-methyltetrahydro-2H-pyran-3-yl) carbonate
Catalogue No.:PA 20 0781001
CAS :
217649-77-9
Molecular Formula : C46H76N2O14
Molecular Weight : 881.11
Benzyl ((2S,3S,4S,6S)-4-(dimethylamino)-2-(((2R,3S,4R,5R,8R,10R,11R,12S,13S,14R)-2-ethyl-3,4,10-trihydroxy-13-(((2R,4R,5S,6S)-5-hydroxy-4-methoxy-4,6-dimethyl-5-((propylamino)methyl)tetrahydro-2H-pyran-2-yl)oxy)-3,5,8,10,12,14-hexamethyl-15-oxo-1-oxa-6-azacyclopentadecan-11-yl)oxy)-6-methyltetrahydro-2H-pyran-3-yl) carbonate hydrate
Benzyl ((2S,3S,4S,6S)-4-(dimethylamino)-2-(((2R,3S,4R,5R,8R,10R,11R,12S,13S,14R)-2-ethyl-3,4,10-trihydroxy-13-(((2R,4R,5S,6S)-5-hydroxy-4-methoxy-4,6-dimethyl-5-((propylamino)methyl)tetrahydro-2H-pyran-2-yl)oxy)-3,5,8,10,12,14-hexamethyl-15-oxo-1-oxa-6-azacyclopentadecan-11-yl)oxy)-6-methyltetrahydro-2H-pyran-3-yl) carbonate hydrate
Catalogue No.:PA 20 0781002
CAS :
NA
Molecular Formula : C49H87N3O15
Molecular Weight : 958.24
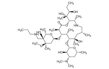
(2R,3S,4R,5R,8R,10R,11R,12S,13S,14R)-13-(((2R,4R,5S,6S)-5-(aminomethyl)-5-hydroxy-4-methoxy-4,6-dimethyltetrahydro-2H-pyran-2-yl)oxy)-11-(((2S,3R,4S,6R)-4-(dimethylamino)-3-hydroxy-6-methyltetrahydro-2H-pyran-2-yl)oxy)-2-ethyl-3,4,10-trihydroxy-3,5,8,10,12,14-hexamethyl-1-oxa-6-azacyclopentadecan-15-one
(2R,3S,4R,5R,8R,10R,11R,12S,13S,14R)-13-(((2R,4R,5S,6S)-5-(aminomethyl)-5-hydroxy-4-methoxy-4,6-dimethyltetrahydro-2H-pyran-2-yl)oxy)-11-(((2S,3R,4S,6R)-4-(dimethylamino)-3-hydroxy-6-methyltetrahydro-2H-pyran-2-yl)oxy)-2-ethyl-3,4,10-trihydroxy-3,5,8,10,12,14-hexamethyl-1-oxa-6-azacyclopentadecan-15-one
Catalogue No.:PA 20 0781004
CAS :
371193-60-1
Molecular Formula : C38H73N3O12
Molecular Weight : 764.01
(2R,3S,4R,5R,8R,10R,11R,12S,13S,14R)-11-(((2S,3R,4S,6R)-4-(Dimethylamino)-3-hydroxy-6-methyltetrahydro-2H-pyran-2-yl)oxy)-2-ethyl-3,4,10-trihydroxy-13-(((5S,6S,8R,10R)-10-methoxy-6,10-dimethyl-3-propyl-1,7-dioxa-3-azaspiro[4.5]decan-8-yl)oxy)-3,5,8,10,12,14-hexamethyl-1-oxa-6-azacyclopentadecan-15-one
(2R,3S,4R,5R,8R,10R,11R,12S,13S,14R)-11-(((2S,3R,4S,6R)-4-(Dimethylamino)-3-hydroxy-6-methyltetrahydro-2H-pyran-2-yl)oxy)-2-ethyl-3,4,10-trihydroxy-13-(((5S,6S,8R,10R)-10-methoxy-6,10-dimethyl-3-propyl-1,7-dioxa-3-azaspiro[4.5]decan-8-yl)oxy)-3,5,8,10,12,14-hexamethyl-1-oxa-6-azacyclopentadecan-15-one
Catalogue No.:PA 20 0781005
CAS :
352032-81-6
Molecular Formula : C42H79N3O12
Molecular Weight : 818.1
(3R,6R,8R,9R,10S,11S,12R)-2-((2R,3R)-2,3-Dihydroxypentan-2-yl)-9-(((2S,3R,4S,6R)-4-(dimethylamino)-3-hydroxy-6-methyltetrahydro-2H-pyran-2-yl)oxy)-8-hydroxy-11-(((2R,4R,5S,6S)-5-hydroxy-4-methoxy-4,6-dimethyl-5-((propylamino)methyl)tetrahydro-2H-pyran-2-yl)oxy)-3,6,8,10,12-pentamethyl-1-oxa-4-azacyclotridecan-13-one
(3R,6R,8R,9R,10S,11S,12R)-2-((2R,3R)-2,3-Dihydroxypentan-2-yl)-9-(((2S,3R,4S,6R)-4-(dimethylamino)-3-hydroxy-6-methyltetrahydro-2H-pyran-2-yl)oxy)-8-hydroxy-11-(((2R,4R,5S,6S)-5-hydroxy-4-methoxy-4,6-dimethyl-5-((propylamino)methyl)tetrahydro-2H-pyran-2-yl)oxy)-3,6,8,10,12-pentamethyl-1-oxa-4-azacyclotridecan-13-one
Catalogue No.:PA 20 0781007
CAS :
352032-76-9
Molecular Formula : C41H79N3O12
Molecular Weight : 806.09
(2R,3S,4R,5R,8R,10R,11R,12S,13S,14R)-11-(((2S,3R,4S,6R)-4-(Dimethylamino)-3-hydroxy-6-methyltetrahydro-2H-pyran-2-yl)oxy)-2-ethyl-3,4,10-trihydroxy-13-(((5S,6S,8R,10R)-10-methoxy-2,2,6,10-tetramethyl-3-propyl-1,7-dioxa-3-azaspiro[4.5]decan-8-yl)oxy)-3,5,8,10,12,14-hexamethyl-1-oxa-6-azacyclopentadecan-15-one
(2R,3S,4R,5R,8R,10R,11R,12S,13S,14R)-11-(((2S,3R,4S,6R)-4-(Dimethylamino)-3-hydroxy-6-methyltetrahydro-2H-pyran-2-yl)oxy)-2-ethyl-3,4,10-trihydroxy-13-(((5S,6S,8R,10R)-10-methoxy-2,2,6,10-tetramethyl-3-propyl-1,7-dioxa-3-azaspiro[4.5]decan-8-yl)oxy)-3,5,8,10,12,14-hexamethyl-1-oxa-6-azacyclopentadecan-15-one
Catalogue No.:PA 20 0781008
CAS :
NA
Molecular Formula : C44H83N3O12
Molecular Weight : 846.16
(2R,3R,4S,5R,8R,10R,11R,12S,13S,14R)-11-(((2S,3R,4S,6R)-4-(Dimethylamino)-3-hydroxy-6-methyltetrahydro-2H-pyran-2-yl)oxy)-2-ethyl-4,10-dihydroxy-13-(((2R,4R,5S,6S)-5-hydroxy-4-methoxy-4,6-dimethyl-5-((propylamino)methyl)tetrahydro-2H-pyran-2-yl)oxy)-3,5,8,10,12,14-hexamethyl-1-oxa-6-azacyclopentadecan-15-one
(2R,3R,4S,5R,8R,10R,11R,12S,13S,14R)-11-(((2S,3R,4S,6R)-4-(Dimethylamino)-3-hydroxy-6-methyltetrahydro-2H-pyran-2-yl)oxy)-2-ethyl-4,10-dihydroxy-13-(((2R,4R,5S,6S)-5-hydroxy-4-methoxy-4,6-dimethyl-5-((propylamino)methyl)tetrahydro-2H-pyran-2-yl)oxy)-3,5,8,10,12,14-hexamethyl-1-oxa-6-azacyclopentadecan-15-one
Catalogue No.:PA 20 0781009
CAS :
NA
Molecular Formula : C41H79N3O11
Molecular Weight : 790.09
(2R,3S,4R,5R,8R,10R,11R,12S,13S,14R)-2-Ethyl-3,4,10-trihydroxy-13-(((2R,4R,5S,6S)-5-hydroxy-4-methoxy-4,6-dimethyl-5-((propylamino)methyl)tetrahydro-2H-pyran-2-yl)oxy)-11-(((2S,3R,4S,6R)-3-hydroxy-6-methyl-4-(methylamino)tetrahydro-2H-pyran-2-yl)oxy)-3,5,8,10,12,14-hexamethyl-1-oxa-6-azacyclopentadecan-15-one
(2R,3S,4R,5R,8R,10R,11R,12S,13S,14R)-2-Ethyl-3,4,10-trihydroxy-13-(((2R,4R,5S,6S)-5-hydroxy-4-methoxy-4,6-dimethyl-5-((propylamino)methyl)tetrahydro-2H-pyran-2-yl)oxy)-11-(((2S,3R,4S,6R)-3-hydroxy-6-methyl-4-(methylamino)tetrahydro-2H-pyran-2-yl)oxy)-3,5,8,10,12,14-hexamethyl-1-oxa-6-azacyclopentadecan-15-one
Catalogue No.:PA 20 0781010
CAS :
2051579-12-3
Molecular Formula : C40H77N3O12
Molecular Weight : 792.07
(1S,2R,3R,6R,7S,8S,9R,10R,12R,16S)-9-(((2S,3R,4S,6R)-4-(Dimethylamino)-3-hydroxy-6-methyltetrahydro-2H-pyran-2-yl)oxy)-3-ethyl-2,10-dihydroxy-7-(((2R,4R,5S,6S)-5-hydroxy-4-methoxy-4,6-dimethyltetrahydro-2H-pyran-2-yl)oxy)-2,6,8,10,12,16-hexamethyl-4,15-dioxa-14-azabicyclo[11.2.1]hexadec-13-en-5-one
(1S,2R,3R,6R,7S,8S,9R,10R,12R,16S)-9-(((2S,3R,4S,6R)-4-(Dimethylamino)-3-hydroxy-6-methyltetrahydro-2H-pyran-2-yl)oxy)-3-ethyl-2,10-dihydroxy-7-(((2R,4R,5S,6S)-5-hydroxy-4-methoxy-4,6-dimethyltetrahydro-2H-pyran-2-yl)oxy)-2,6,8,10,12,16-hexamethyl-4,15-dioxa-14-azabicyclo[11.2.1]hexadec-13-en-5-one
Catalogue No.:PA 20 0781011
CAS :
NA
Molecular Formula : C37H66N2O12
Molecular Weight : 730.94
N-((2S,3R,4S,6R)-2-(((2R,3S,4R,5R,8R,10R,11R,12S,13S,14R)-2-Ethyl-3,4,10-trihydroxy-13-(((2R,4R,5S,6S)-5-hydroxy-4-methoxy-4,6-dimethyl-5-((propylamino)methyl)tetrahydro-2H-pyran-2-yl)oxy)-3,5,8,10,12,14-hexamethyl-15-oxo-1-oxa-6-azacyclopentadecan-11-yl)oxy)-3-hydroxy-6-methyltetrahydro-2H-pyran-4-yl)-N-methylformamide
N-((2S,3R,4S,6R)-2-(((2R,3S,4R,5R,8R,10R,11R,12S,13S,14R)-2-Ethyl-3,4,10-trihydroxy-13-(((2R,4R,5S,6S)-5-hydroxy-4-methoxy-4,6-dimethyl-5-((propylamino)methyl)tetrahydro-2H-pyran-2-yl)oxy)-3,5,8,10,12,14-hexamethyl-15-oxo-1-oxa-6-azacyclopentadecan-11-yl)oxy)-3-hydroxy-6-methyltetrahydro-2H-pyran-4-yl)-N-methylformamide
Catalogue No.:PA 20 0781012
CAS :
NA
Molecular Formula : C41H77N3O13
Molecular Weight : 820.08

