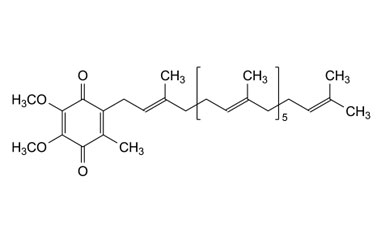
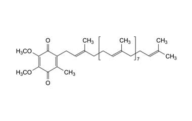
ubidecarenone and its Impurities
Ubidecarenone is sold as a dietary supplement and is not FDA approved as a drug thus, it is not meant to treat, cure or prevent any disease. Reference standards of Ubidecarenone API,and its pharmacopeial, non pharmacopeial impurities, and stable isotopes are listed below.

