Upadacitinib and its Impurities
Upadacitinib, sold under the brand name Rinvoq, is a Janus kinase (JAK) inhibitor medication for the treatment of moderately to severely active rheumatoid arthritis in adults. where, its methotrexate a drug used to treat active arthritis. Reference standards of Upadacitinib API, and its pharmacopeial, non pharmacopeial impurities, and stable isotopes are listed below.
 
	
			                                  ![(3S,4S)-3-Ethyl-4-(3H-imidazo[1,2-a]pyrrolo[2,3-e] PA 21 0181000](https://www.pharmaffiliates.com/pimages/PA210181000.jpg) 
																				(3S,4S)-3-Ethyl-4-(3H-imidazo[1,2-a]pyrrolo[2,3-e]pyrazin-8-yl)-N-(2,2,2-trifluoroethyl)pyrrolidine-1-carboxamide
(3S,4S)-3-Ethyl-4-(3H-imidazo[1,2-a]pyrrolo[2,3-e]pyrazin-8-yl)-N-(2,2,2-trifluoroethyl)pyrrolidine-1-carboxamide
- Catalogue No.:PA 21 0181000 
- CAS : - NA
- Molecular Formula : C17H19F3N6O 
- Molecular Weight : 380.38 
 
	
			                                  ![(3R,4R)-3-Ethyl-4-(3H-imidazo[1,2-a]pyrrolo[2,3-e] PA 21 0181002](https://www.pharmaffiliates.com/pimages/PA210181002.jpg) 
																				(3R,4R)-3-Ethyl-4-(3H-imidazo[1,2-a]pyrrolo[2,3-e]pyrazin-8-yl)-N-(2,2,2-trifluoroethyl)pyrrolidine-1-carboxamide
(3R,4R)-3-Ethyl-4-(3H-imidazo[1,2-a]pyrrolo[2,3-e]pyrazin-8-yl)-N-(2,2,2-trifluoroethyl)pyrrolidine-1-carboxamide
- Catalogue No.:PA 21 0181002 
- CAS : - NA
- Molecular Formula : C17H19F3N6O 
- Molecular Weight : 380.38 
 
	
			                                  ![(3S,4R)-3-Ethyl-4-(3-tosyl-3H-imidazo[1,2-a]pyrrol PA 21 0181003](https://www.pharmaffiliates.com/pimages/PA210181003.jpg) 
																				(3S,4R)-3-Ethyl-4-(3-tosyl-3H-imidazo[1,2-a]pyrrolo[2,3-e]pyrazin-8-yl)-N-(2,2,2-trifluoroethyl)pyrrolidine-1-carboxamide
(3S,4R)-3-Ethyl-4-(3-tosyl-3H-imidazo[1,2-a]pyrrolo[2,3-e]pyrazin-8-yl)-N-(2,2,2-trifluoroethyl)pyrrolidine-1-carboxamide
- Catalogue No.:PA 21 0181003 
- CAS : - 2411540-30-0
- Molecular Formula : C24H25F3N6O3S 
- Molecular Weight : 534.56 
 
	
			                                  ![(3R,4S)-3-Ethyl-4-(3H-imidazo[1,2-a]pyrrolo[2,3-e] PA 21 0181007](https://www.pharmaffiliates.com/pimages/PA210181007.jpg) 
																				(3R,4S)-3-Ethyl-4-(3H-imidazo[1,2-a]pyrrolo[2,3-e]pyrazin-8-yl)-N-(2,2,2-trifluoroethyl)pyrrolidine-1-carboxamide
(3R,4S)-3-Ethyl-4-(3H-imidazo[1,2-a]pyrrolo[2,3-e]pyrazin-8-yl)-N-(2,2,2-trifluoroethyl)pyrrolidine-1-carboxamide
- Catalogue No.:PA 21 0181007 
- CAS : - 1310726-59-0
- Molecular Formula : C17H19F3N6O 
- Molecular Weight : 380.38 
 
	
			                                  ![rel-(3R,4S)-3-Ethyl-4-(3H-imidazo[1,2-a]pyrrolo[2, PA 21 0181008](https://www.pharmaffiliates.com/pimages/PA210181008.jpg) 
																				rel-(3R,4S)-3-Ethyl-4-(3H-imidazo[1,2-a]pyrrolo[2,3-e]pyrazin-8-yl)-N-(2,2,2-trifluoroethyl)pyrrolidine-1-carboxamide
rel-(3R,4S)-3-Ethyl-4-(3H-imidazo[1,2-a]pyrrolo[2,3-e]pyrazin-8-yl)-N-(2,2,2-trifluoroethyl)pyrrolidine-1-carboxamide
- Catalogue No.:PA 21 0181008 
- CAS : - 1831899-72-9
- Molecular Formula : C17H19F3N6O 
- Molecular Weight : 380.38 
 
	
			                                  ![(3S,4R)-3-Ethyl-4-(3-nitroso-3H-imidazo[1,2-a]pyrr PA 21 0181009](https://www.pharmaffiliates.com/pimages/PA210181009.jpg) 
																				(3S,4R)-3-Ethyl-4-(3-nitroso-3H-imidazo[1,2-a]pyrrolo[2,3-e]pyrazin-8-yl)-N-(2,2,2-trifluoroethyl)pyrrolidine-1-carboxamide
(3S,4R)-3-Ethyl-4-(3-nitroso-3H-imidazo[1,2-a]pyrrolo[2,3-e]pyrazin-8-yl)-N-(2,2,2-trifluoroethyl)pyrrolidine-1-carboxamide
- Catalogue No.:PA 21 0181009 
- CAS : - NA
- Molecular Formula : C17H18F3N7O2 
- Molecular Weight : 409.37 
 
	
			                                  ![(S)-N-Ethyl-3-(3-nitroso-3H-imidazo[1,2-a]pyrrolo[ PA 21 0181010](https://www.pharmaffiliates.com/pimages/PA210181010.jpg) 
																				(S)-N-Ethyl-3-(3-nitroso-3H-imidazo[1,2-a]pyrrolo[2,3-e]pyrazin-8-yl)-N-(2,2,2-trifluoroethyl)pyrrolidine-1-carboxamide
(S)-N-Ethyl-3-(3-nitroso-3H-imidazo[1,2-a]pyrrolo[2,3-e]pyrazin-8-yl)-N-(2,2,2-trifluoroethyl)pyrrolidine-1-carboxamide
- Catalogue No.:PA 21 0181010 
- CAS : - NA
- Molecular Formula : C17H18F3N7O2 
- Molecular Weight : 409.37 
 
	
			                                   
																				(3S,4R)-3-Ethyl-4-(3-(hydroxymethyl)-3H-imidazo[1,2-a]pyrrolo[2,3-e]pyrazin-8-yl)-N-(2,2,2-trifluoroethyl)pyrrolidine-1-carboxamide
(3S,4R)-3-Ethyl-4-(3-(hydroxymethyl)-3H-imidazo[1,2-a]pyrrolo[2,3-e]pyrazin-8-yl)-N-(2,2,2-trifluoroethyl)pyrrolidine-1-carboxamide
- Catalogue No.:PA 21 0181012 
- CAS : - NA
- Molecular Formula : C18H21F3N6O2 
- Molecular Weight : 410.4 
 
	
			                                  ![1-((3S,4R)-3-Ethyl-4-(3-tosyl-3H-imidazo[1,2-a]pyr PA 21 0181016](https://www.pharmaffiliates.com/pimages/PA210181016.jpg) 
																				1-((3S,4R)-3-Ethyl-4-(3-tosyl-3H-imidazo[1,2-a]pyrrolo[2,3-e]pyrazin-8-yl)pyrrolidin-1-yl)-2,2,2-trifluoroethan-1-one
1-((3S,4R)-3-Ethyl-4-(3-tosyl-3H-imidazo[1,2-a]pyrrolo[2,3-e]pyrazin-8-yl)pyrrolidin-1-yl)-2,2,2-trifluoroethan-1-one
- Catalogue No.:PA 21 0181016 
- CAS : - 2768445-19-6
- Molecular Formula : C23H22F3N5O3S 
- Molecular Weight : 505.52 
 
	
			                                   
																				Benzyl (3S,4R)-3-ethyl-4-(3-tosyl-3H-imidazo[1,2-a]pyrrolo[2,3-e]pyrazin-8-yl)pyrrolidine-1-carboxylate
Benzyl (3S,4R)-3-ethyl-4-(3-tosyl-3H-imidazo[1,2-a]pyrrolo[2,3-e]pyrazin-8-yl)pyrrolidine-1-carboxylate
- Catalogue No.:PA 21 0181018 
- CAS : - 1708997-42-5
- Molecular Formula : C29H29N5O4S 
- Molecular Weight : 543.64 
 
	
			                                   
																				8-((3R,4S)-4-Ethyl-1-((2,2,2-trifluoroethyl)carbamoyl)pyrrolidin-3-yl)-N-(2,2,2-trifluoroethyl)-3H-imidazo[1,2-a]pyrrolo[2,3-e]pyrazine-3-carboxamide
8-((3R,4S)-4-Ethyl-1-((2,2,2-trifluoroethyl)carbamoyl)pyrrolidin-3-yl)-N-(2,2,2-trifluoroethyl)-3H-imidazo[1,2-a]pyrrolo[2,3-e]pyrazine-3-carboxamide
- Catalogue No.:PA 21 0181020 
- CAS : - 2715120-86-6
- Molecular Formula : C20H21F6N7O2 
- Molecular Weight : 505.43 
 
	
			                                   
																				(3R,4S)-3-Ethyl-4-(3-(hydroxymethyl)-3H-imidazo[1,2-a]pyrrolo[2,3-e]pyrazin-8-yl)-N-(2,2,2-trifluoroethyl)pyrrolidine-1-carboxamide
(3R,4S)-3-Ethyl-4-(3-(hydroxymethyl)-3H-imidazo[1,2-a]pyrrolo[2,3-e]pyrazin-8-yl)-N-(2,2,2-trifluoroethyl)pyrrolidine-1-carboxamide
- Catalogue No.:PA 21 0181023 
- CAS : - NA
- Molecular Formula : C18H21F3N6O2 
- Molecular Weight : 410.4 
 
	
			                                  ![1-((3S,4R)-3-Ethyl-4-(3-tosyl-3H-imidazo[1,2-a]pyr PA 21 0181024](https://www.pharmaffiliates.com/pimages/PA210181024.jpg) 
																				1-((3S,4R)-3-Ethyl-4-(3-tosyl-3H-imidazo[1,2-a]pyrrolo[2,3-e]pyrazin-8-yl)pyrrolidin-1-yl)-3,3,3-trifluoropropan-1-one
1-((3S,4R)-3-Ethyl-4-(3-tosyl-3H-imidazo[1,2-a]pyrrolo[2,3-e]pyrazin-8-yl)pyrrolidin-1-yl)-3,3,3-trifluoropropan-1-one
- Catalogue No.:PA 21 0181024 
- CAS : - NA
- Molecular Formula : C24H24F3N5O3S 
- Molecular Weight : 519.54 
 
	
			                                   
																				Benzyl (3R,4S)-3-(N-(tert-butoxycarbonyl)-N-(5-tosyl-5H-pyrrolo[2,3-b]pyrazin-2-yl)glycyl)-4-ethylpyrrolidine-1-carboxylate
Benzyl (3R,4S)-3-(N-(tert-butoxycarbonyl)-N-(5-tosyl-5H-pyrrolo[2,3-b]pyrazin-2-yl)glycyl)-4-ethylpyrrolidine-1-carboxylate
- Catalogue No.:PA 21 0181025 
- CAS : - 1428243-27-9
- Molecular Formula : C34H39N5O7S 
- Molecular Weight : 661.77 
 
	
			                                  ![((3S,4R)-3-Ethyl-4-(3H-imidazo[1,2-a]pyrrolo[2,3-e PA 21 0181026](https://www.pharmaffiliates.com/pimages/PA210181026.jpg) 
																				((3S,4R)-3-Ethyl-4-(3H-imidazo[1,2-a]pyrrolo[2,3-e]pyrazin-8-yl)pyrrolidin-1-yl)(1H-imidazol-1-yl)methanone
((3S,4R)-3-Ethyl-4-(3H-imidazo[1,2-a]pyrrolo[2,3-e]pyrazin-8-yl)pyrrolidin-1-yl)(1H-imidazol-1-yl)methanone
- Catalogue No.:PA 21 0181026 
- CAS : - NA
- Molecular Formula : C18H19N7O 
- Molecular Weight : 349.4 
 
	
			                                   
																				Benzyl (3R,4S)-3-(2-(dimethyl(oxo)-l6-sulfaneylidene)acetyl)-4-ethylpyrrolidine-1-carboxylate
Benzyl (3R,4S)-3-(2-(dimethyl(oxo)-l6-sulfaneylidene)acetyl)-4-ethylpyrrolidine-1-carboxylate
- Catalogue No.:PA 21 0181028 
- CAS : - 2050038-78-1
- Molecular Formula : C18H25NO4S 
- Molecular Weight : 351.46 
 
	
			                                  ![(3S,4R)-3-Ethyl-4-(3H-imidazo[1,2-a]pyrrolo[2,3-e] PA 21 0211000](https://www.pharmaffiliates.com/pimages/PA210211000.jpg) 
																				(3S,4R)-3-Ethyl-4-(3H-imidazo[1,2-a]pyrrolo[2,3-e]pyrazin-8-yl)-N-nitroso-N-(2,2,2-trifluoroethyl)pyrrolidine-1-carboxamide
(3S,4R)-3-Ethyl-4-(3H-imidazo[1,2-a]pyrrolo[2,3-e]pyrazin-8-yl)-N-nitroso-N-(2,2,2-trifluoroethyl)pyrrolidine-1-carboxamide
- Catalogue No.:PA 21 0211000 
- CAS : - NA
- Molecular Formula : C17H18F3N7O2 
- Molecular Weight : 409.37 
 
	
			                                  ![Methyl (3S,4R)-3-ethyl-4-(3H-imidazo[1,2-a]pyrrolo PA 21 0181033](https://www.pharmaffiliates.com/pimages/PA210181033.jpg) 
																				Methyl (3S,4R)-3-ethyl-4-(3H-imidazo[1,2-a]pyrrolo[2,3-e]pyrazin-8-yl)pyrrolidine-1-carboxylate
Methyl (3S,4R)-3-ethyl-4-(3H-imidazo[1,2-a]pyrrolo[2,3-e]pyrazin-8-yl)pyrrolidine-1-carboxylate
- Catalogue No.:PA 21 0181033 
- CAS : - NA
- Molecular Formula : C16H19N5O2 
- Molecular Weight : 313.36 
 
	
			                                  ![Benzyl (3S,4R)-3-ethyl-4-(3H-imidazo[1,2-a]pyrrolo PA 21 0181041](https://www.pharmaffiliates.com/pimages/PA210181041.jpg) 
																				Benzyl (3S,4R)-3-ethyl-4-(3H-imidazo[1,2-a]pyrrolo[2,3-e]pyrazin-8-yl)pyrrolidine-1-carboxylate
Benzyl (3S,4R)-3-ethyl-4-(3H-imidazo[1,2-a]pyrrolo[2,3-e]pyrazin-8-yl)pyrrolidine-1-carboxylate
- Catalogue No.:PA 21 0181041 
- CAS : - 2095311-51-4
- Molecular Formula : C22H23N5O2 
- Molecular Weight : 389.46 
 
	
			                                   
																				8-((3R,4S)-4-Ethyl-1-((2,2,2-trifluoroethyl)carbamoyl)pyrrolidin-3-yl)-3H-imidazo[1,2-a]pyrrolo[2,3-e]pyrazine 6-oxide
8-((3R,4S)-4-Ethyl-1-((2,2,2-trifluoroethyl)carbamoyl)pyrrolidin-3-yl)-3H-imidazo[1,2-a]pyrrolo[2,3-e]pyrazine 6-oxide
- Catalogue No.:PA 21 0181042 
- CAS : - NA
- Molecular Formula : C17H19F3N6O2 
- Molecular Weight : 396.37 
 
	
			                                   
																				Benzyl (3S,4S)-3-(N-(tert-butoxycarbonyl)-N-(5-tosyl-5H-pyrrolo[2,3-b]pyrazin-2-yl)glycyl)-4-ethylpyrrolidine-1-carboxylate
Benzyl (3S,4S)-3-(N-(tert-butoxycarbonyl)-N-(5-tosyl-5H-pyrrolo[2,3-b]pyrazin-2-yl)glycyl)-4-ethylpyrrolidine-1-carboxylate
- Catalogue No.:PA 21 0181045 
- CAS : - 2768445-17-4
- Molecular Formula : C34H39N5O7S 
- Molecular Weight : 661.77 
 
	
			                                   
																				Benzyl (3S,4S)-3-ethyl-4-(3-tosyl-3H-imidazo[1,2-a]pyrrolo[2,3-e]pyrazin-8-yl)pyrrolidine-1-carboxylate
Benzyl (3S,4S)-3-ethyl-4-(3-tosyl-3H-imidazo[1,2-a]pyrrolo[2,3-e]pyrazin-8-yl)pyrrolidine-1-carboxylate
- Catalogue No.:PA 21 0181046 
- CAS : - 2270173-65-2
- Molecular Formula : C29H29N5O4S 
- Molecular Weight : 543.64 

 
																				 
																				 
																				 
																				 
																				 
																				 
																				 
																				 
																				 
																				 
																				![(3S,4R)-3-Ethyl-4-(3H-imidazo[1,2-a]pyrrolo[2,3-e] PA 21 0181019](https://www.pharmaffiliates.com/pimages/PA210181019.jpg) 
																				 
																				 
																				![3-Bromo-5-nitroso-5H-pyrrolo[2,3-b]pyrazine PA 21 0181027](https://www.pharmaffiliates.com/pimages/PA210181027.jpg) 
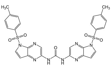
																				![bis(5-Tosyl-5H-pyrrolo[2,3-b]pyrazin-2-yl)amine PA 21 0181029](https://www.pharmaffiliates.com/pimages/PA210181029.jpg) 
																				![Isopropyl (5-tosyl-5H-pyrrolo[2,3-b]pyrazin-2-yl)c PA 21 0181030](https://www.pharmaffiliates.com/pimages/PA210181030.jpg) 
																				![1,3-bis(5-Tosyl-5H-pyrrolo[2,3-b]pyrazin-2-yl)urea PA 21 0181031](https://www.pharmaffiliates.com/pimages/PA210181031.jpg) 
																				![2-Bromo-5-tosyl-5H-pyrrolo[2,3-b]pyrazine PA 21 0181032](https://www.pharmaffiliates.com/pimages/PA210181032.jpg) 
																				 
																				 
																				 
																				![tert-Butyl (5-tosyl-5H-pyrrolo[2,3-b]pyrazin-2-yl) PA 21 0181037](https://www.pharmaffiliates.com/pimages/PA210181037.jpg) 
																				![Methyl 5H-pyrrolo[2,3-b]pyrazine-2-carboxylate PA 21 0181038](https://www.pharmaffiliates.com/pimages/PA210181038.jpg) 
																				![2-Chloro-5H-pyrrolo[2,3-b]pyrazine PA 21 0181039](https://www.pharmaffiliates.com/pimages/PA210181039.jpg) 
																				![2-Bromo-5H-pyrrolo[2,3-b]pyrazine PA 21 0181040](https://www.pharmaffiliates.com/pimages/PA210181040.jpg) 
																				 
																				 
																				 
 
 
 
