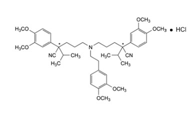
verapamil hydrochloride and its Impurities
Verapamil Hydrochloride is used in the treatment of high blood pressure, heart arrhythmias, and angina,16 and was the first calcium channel antagonist to be introduced into therapy in the early 1960s. It is a phenylalkylamine calcium channel blocker.Reference standards of Verapamil Hydrochloride API,and its pharmacopeial, non pharmacopeial impurities, and stable isotopes are listed below.
 
	
			                                   
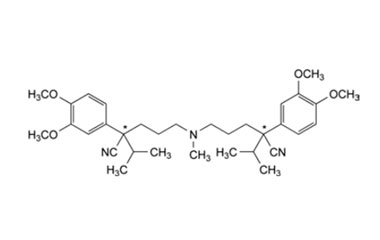
																				5-((3,4-Dimethoxyphenethyl)(methyl)amino)-2-(3-hydroxy-4-methoxyphenyl)-2-isopropylpentanenitrile
5-((3,4-Dimethoxyphenethyl)(methyl)amino)-2-(3-hydroxy-4-methoxyphenyl)-2-isopropylpentanenitrile
- Catalogue No.:PA 22 0081005 
- CAS : - 114847-42-6
- Molecular Formula : C26H36N2O4 
- Molecular Weight : 440.58 
 
	
			                                   
																				5-((3,4-dimethoxyphenethyl)amino)-2-(3,4-dimethoxyphenyl)-2-(propan-2-yl-1,1,1,3,3,3-d6)pentanenitrile
5-((3,4-dimethoxyphenethyl)amino)-2-(3,4-dimethoxyphenyl)-2-(propan-2-yl-1,1,1,3,3,3-d6)pentanenitrile
- Catalogue No.:PA STI 089965 
- CAS : - 1329747-21-8
- Molecular Formula : C26H30D6N2O4 
- Molecular Weight : 446.62 

 
																				 
																				 
																				 
																				 
																				 
																				 
																				 
																				 
																				 
																				 
																				 
																				 
																				 
																				 
																				 
																				 
																				 
																				 
																				 
																				 
																				 
																				 
																				 
																				 
																				 
																				 
																				 
																				 
																				 
																				 
																				 
																				 
																				 
 
 
 
