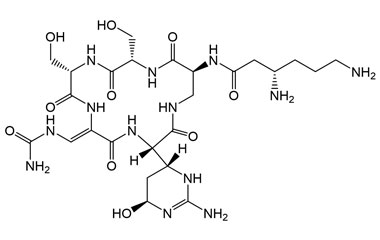
viomycin and its Impurities
Viomycin is used to treat tuberculosis. Viomycin acts by blocking bacterial ribosomal translocation.Reference standards of Viomycin API, and its pharmacopeial, non pharmacopeial impurities, and stable isotopes are listed below.

 
	
			                                   
																				 
																				 
																				 
 
 
 
